

Hãy luôn nhớ cảm ơn và vote 5*
nếu câu trả lời hữu ích nhé!
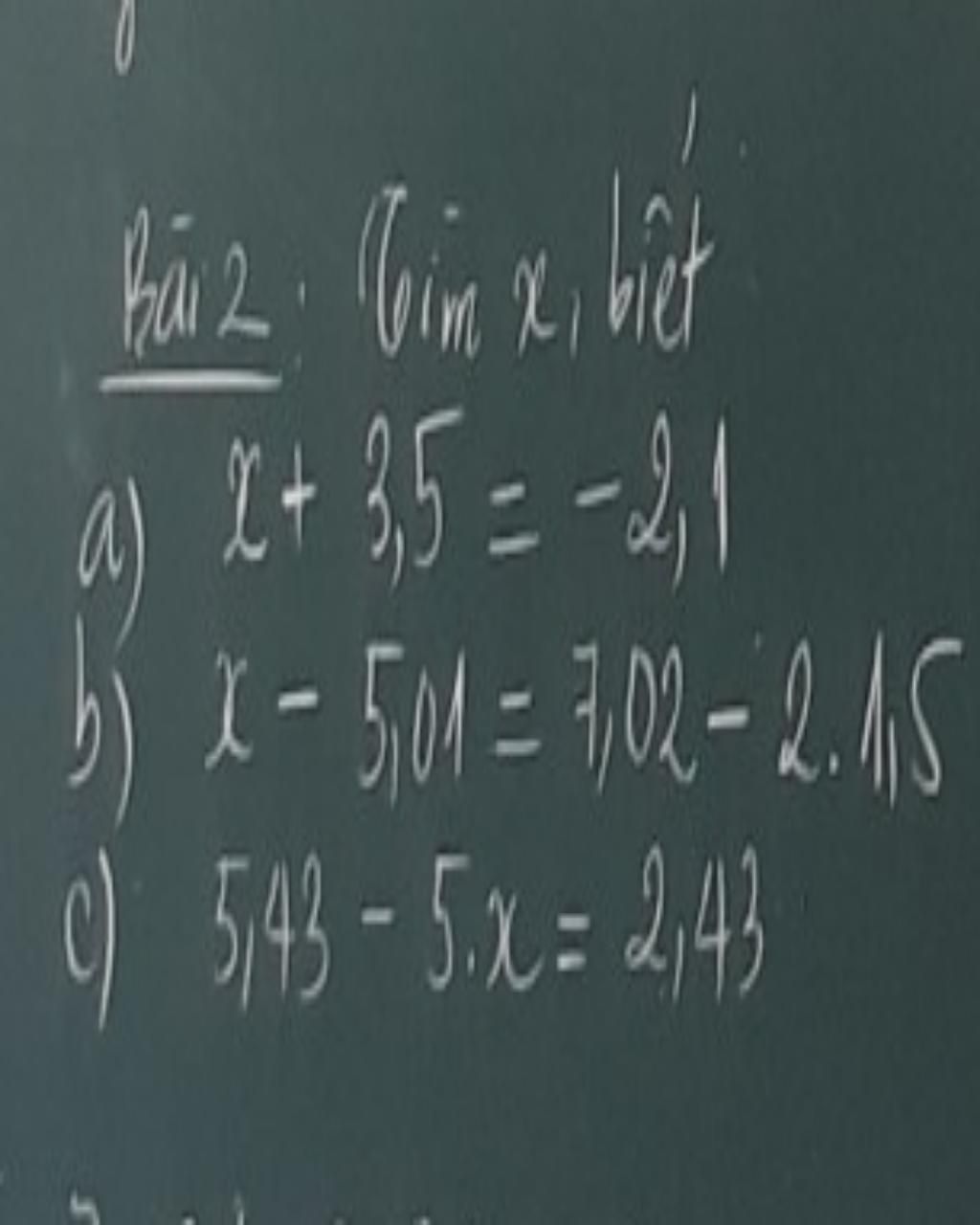
a) x + 35 = -2,1
x = -2,1 - 35
x = -5,6
b) x - 5,01 = 7,02 - 2 . 1,5
x - 5,01 = 7,02 - 3
x - 5,01 = 4,02
x = 4,02 + 5,01
x = 9,03
c) 5,43 - 5 . x = 2,43
5 . x = 5,43 - 2,43
5 . x = 3
x = 3 : 5
x = 0,6
Hãy giúp mọi người biết câu trả lời này thế nào?
![]()
Bảng tin
0
70
0
Cảm ơn nha