12
5
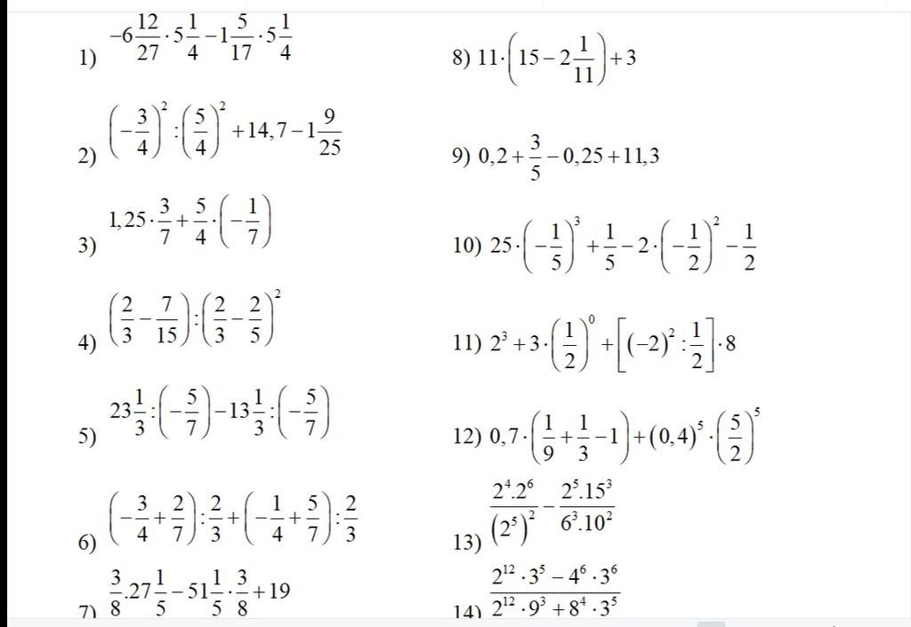
1)
27
4
17
4
8) 11. 15- 2
+3
11
9.
+14,7-1
25
2)
9) 0,2+
3
0,25 +11,3
3
1,25.
7
1
-2.
1
4
3)
10) 25
7
1
11) 2 +3.
2
4)
15
3
-2) :
·8
23
1
-13
1
1
-1
3
+(0.4)* .)
5)
12) 0,7.
2*.2°
2°.15
1
(2')*
6'.102
4
7
4
7
3
13)
212 .35 – 46 .36
6)
1 3
3
.27
7) 8
1
- 51-
5 8
+19
14) 2".93 +8+