Đăng nhập để hỏi chi tiết


Hãy luôn nhớ cảm ơn và vote 5*
nếu câu trả lời hữu ích nhé!

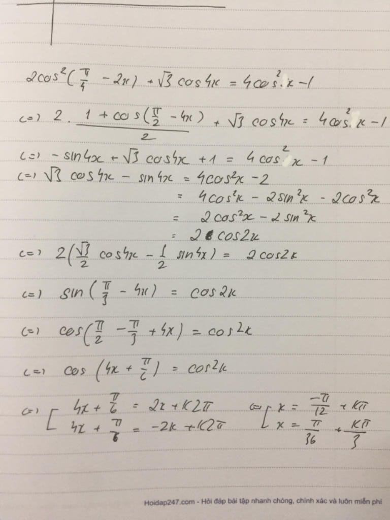
2cos2(Π4−2x)=2(cosΠ4.cos2x+sinΠ4.sin2x)2=(cos2x+sin2x)2=1+2cos2x.sin2x=1+sin4x2cos2(Π4−2x)=2(cosΠ4.cos2x+sinΠ4.sin2x)2=(cos2x+sin2x)2=1+2cos2x.sin2x=1+sin4x
=> được phương trình tương đương:
1+sin4x+√3cos4x=4cos2x−1<=>sin4x+√3cos4x=4cos2x−2=2cos2x<=>12sin4x+√32cos4x=cos2x<=>cos(4x−Π6)=cos2x
Hãy giúp mọi người biết câu trả lời này thế nào?
Bảng tin