

Hãy luôn nhớ cảm ơn và vote 5*
nếu câu trả lời hữu ích nhé!
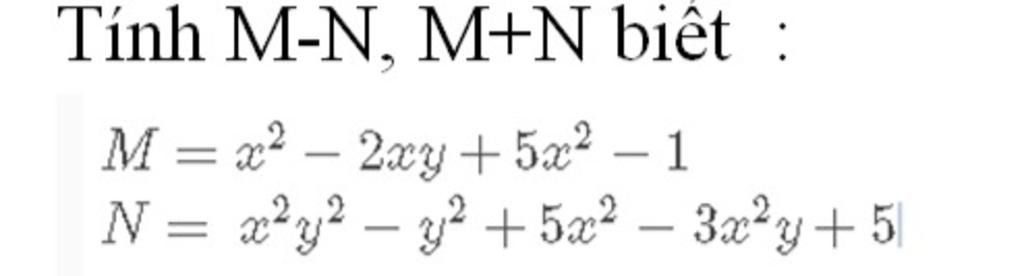
`M-N=(x^2-2xy+5x^2-1)-(x^2y^2-y^2+5x^2-3x^2y+5)`
`=(-5x^2+6x^2)+y^2-x^2y^2+3x^2y-2xy+(-5-1)`
`=x^2+y^2-x^2y^2+3x^2y-2xy-6`
`M+N=(x^2-2xy+5x^2-1)+(x^2y^2-y^2+5x^2-3x^2y+5)`
`=-y^2+(x^2+5x^2+5x^2)+x^2y^2-2xy-3x^2y+(-1+5)`
`=-y^2+11x^2+x^2y^2-2xy-3yx^2+4`
Hãy giúp mọi người biết câu trả lời này thế nào?

Đáp án:
Giải thích các bước giải:
`(+)` `M - N`
`⇒ x² - 2xy + 5x² - 1 - (x²y² - y² + 5x² - 3x²y + 5)`
`= x² - 2xy + 5x² - 1 - x²y² + y² - 5x² + 3x²y - 5`
`= x² - 2xy + y² - x²y² + 3x²y - 6`
`(+)` `M + N`
`⇒ x² - 2xy + 5x² - 1 + x²y² - y² + 5x² - 3x²y + 5`
`= (x² + 5x² + 5x²) - 2xy + x²y² - 3x²y - y² - (1 - 5)`
`= 11x² - 2xy - y² + x²y² - 3x²y + 4`
Hãy giúp mọi người biết câu trả lời này thế nào?

Bảng tin