

Hãy luôn nhớ cảm ơn và vote 5*
nếu câu trả lời hữu ích nhé!
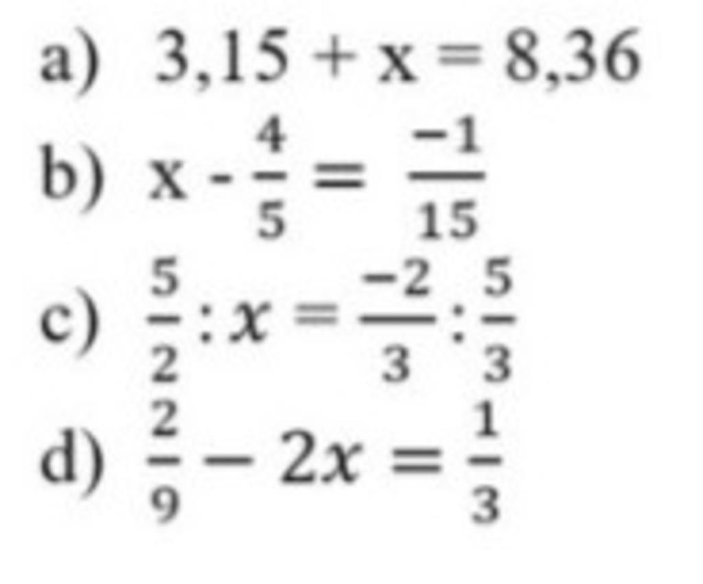
`a)`
`3,15 + x = 8,36`
`x = 8,36 - 3,15`
`x = 5,21`
`Vậy: x = 5,21`
`b)`
`x - 4/5 = (-1)/15`
`x = (-1)/15 + 4/5`
`x = 11/15`
`Vậy: x = 11/15`
`c)`
`5/2 : x = (-2)/3 : 5/3`
`5/2 : x = (-2)/5`
`x = 5/2 : (-2)/5`
`x = (-25)/4`
`Vậy: x = (-25)/4`
`d)`
`2/9 - 2x = 1/3`
`2x = 2/9 - 1/3`
`2x = (-1)/9`
`x = (-1)/9 : 2`
`x = (-1)/18`
`Vậy: x = (-1)/18`
Hãy giúp mọi người biết câu trả lời này thế nào?

` 3,15 + x = 8,36 `
` x = 8,36 - 3,15 `
` x = 5,21`
---------------
` x - 4/5 = (-1)/15 `
` x = (-1)/15 + 4/5 `
` x = 11/15 `
----------------
` 5/2 : x = (-2)/3 : 5/3 `
` 5/2 : x = (-2)/5 `
` x = 5/2 : (-2)/5 `
` x = (-25)/4`
-----------------
` 2/9 - 2x = 1/3 `
` 2x = 2/9 - 1/3 `
` 2x = (-1)/9 `
` x = (-1)/9 : 2 `
` x = (-1)/18`
Hãy giúp mọi người biết câu trả lời này thế nào?
Bảng tin