

Hãy luôn nhớ cảm ơn và vote 5*
nếu câu trả lời hữu ích nhé!
Đáp án:
`b)` ` x ∈ { 0 ; - 2/3 }`
`d)` `x ∈ { - 5/2 ; 1/2 }`
Giải thích các bước giải:
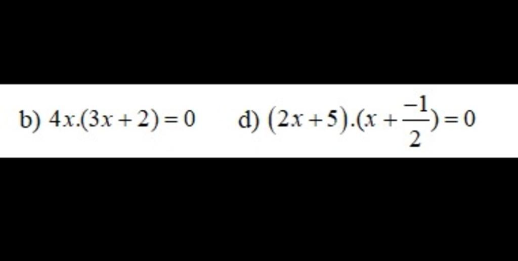
`b) 4x . ( 3x + 2 ) = 0`
`=>` \(\left[ \begin{array}{l}x=0\\3x + 2 = 0\end{array} \right.\)
`=>` \(\left[ \begin{array}{l}x=0\\3x = -2\end{array} \right.\)
`=>` \(\left[ \begin{array}{l}x=0\\x = \frac{-2}{3}\end{array} \right.\)
Vậy `x ∈ { 0 ; - 2/3 }`
`d) ( 2x + 5 )( x + ( - 1 )/2 ) = 0`
`=>` \(\left[ \begin{array}{l}2x + 5 = 0\\x + \frac{-1}{2} = 0\end{array} \right.\)
`=>` \(\left[ \begin{array}{l}2x = -5\\x = \frac{1}{2} \end{array} \right.\)
`=>` \(\left[ \begin{array}{l}x=\frac{-5}{2}\\x = \frac{1}{2}\end{array} \right.\)
Vậy `x ∈ { - 5/2 ; 1/2 }`
Hãy giúp mọi người biết câu trả lời này thế nào?

Đáp án:
Giải thích các bước giải:
`b) 4x.(3x+2)=0`
`=> \(\left[ \begin{array}{l}4x-0\\3x+1=0\end{array} \right.\)
\(\left[ \begin{array}{l}x=0\\3x=-1\end{array} \right.\)
\(\left[ \begin{array}{l}x=0\\x=-1:3\end{array} \right.\)
\(\left[ \begin{array}{l}x=0\\x=\dfrac{-1}{3}\end{array} \right.\)
Vậy `x\in{0;-1/3}`
`d) (2x+5) . (x+(-1)/2) = 0 `
`\(\left[ \begin{array}{l}2x+5=0\\x+\dfrac{-1}{2}=0\end{array} \right.\)
\(\left[ \begin{array}{l}2x=-5\\x=\dfrac{1}{2}\end{array} \right.\)
\(\left[ \begin{array}{l}x=-5:2\\x=\dfrac{1}{2}\end{array} \right.\)
\(\left[ \begin{array}{l}x=\dfrac{-5}{2}\\x=\dfrac{1}{2}\end{array} \right.\)
Vậy `x\in{-5/2;1/2}`
`#Zoee`
Hãy giúp mọi người biết câu trả lời này thế nào?
Bảng tin
0
6
0
rõ ràng ra