Vui lòng chỉ chọn một câu hỏi
Hoidap247.com Nhanh chóng, chính xác
+
Danh mục mới
0
912
Hãy luôn nhớ cảm ơn và vote 5* nếu câu trả lời hữu ích nhé!
177
554
119
Chúc bạn học tốt
Hãy giúp mọi người biết câu trả lời này thế nào?
à dùng cách nào cũm đc hết á miễn xao bn thấy hay và áp dụng là đựt
Bạn cho mình biết bạn dùng phần mềm gì hay ứng dụng gì để trả lời như trên vậy
Bạn làm trên bảng trắng à
Tui hay làm trên phần mềm á chứ tui học latex khso nhớ lắm
phần mềm j v
Bạn có zalo khum đưa mik m nhắn vào cho chứ mik k thể nói trên này đựt
Mong bb thông cảm nha
`sđt:0378720979`
Xem thêm:
452
7586
333
Ai đúng vậy
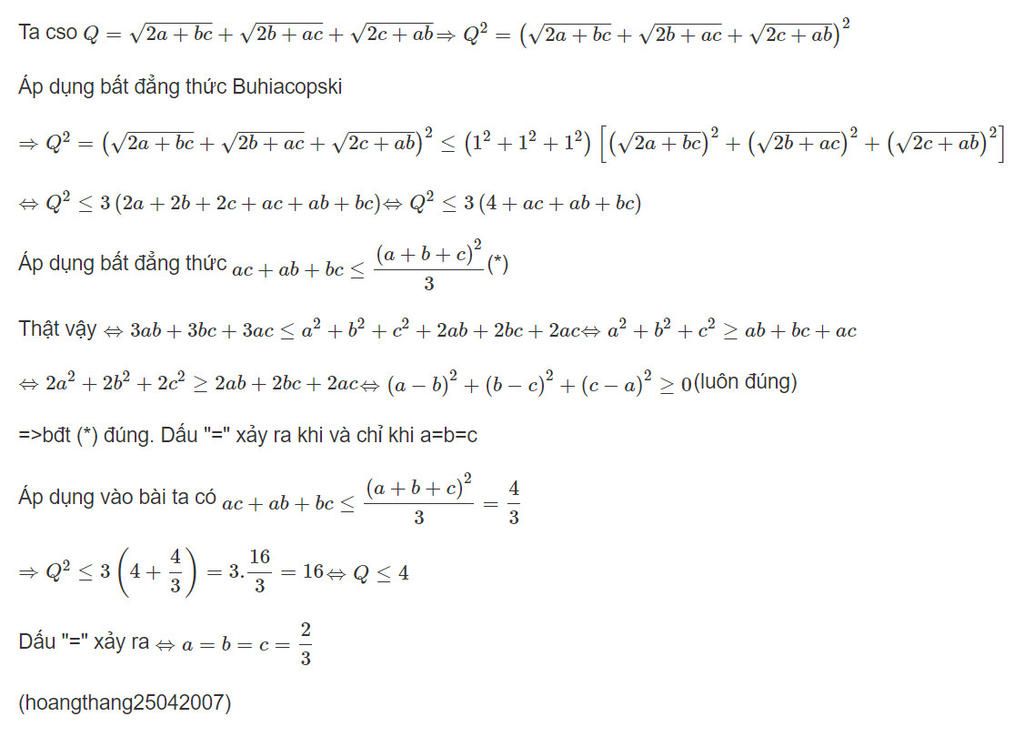
Cả hai đều đúng ạ
Chẳng qua cách mk dùng cosi nên ngắn gọn hơn
Bạn kia dùng bunhiacopsky nên hơi dài
Cô mình chữa thì cách làm giống như bạn trên nên mình cho bạn ấy hay nhất
Bảng tin
Gửi yêu cầu Hủy
177
554
119
à dùng cách nào cũm đc hết á miễn xao bn thấy hay và áp dụng là đựt
0
912
0
Bạn cho mình biết bạn dùng phần mềm gì hay ứng dụng gì để trả lời như trên vậy
0
912
0
Bạn làm trên bảng trắng à
177
554
119
Tui hay làm trên phần mềm á chứ tui học latex khso nhớ lắm
0
912
0
phần mềm j v
177
554
119
Bạn có zalo khum đưa mik m nhắn vào cho chứ mik k thể nói trên này đựt
177
554
119
Mong bb thông cảm nha
0
912
0
`sđt:0378720979`