

Hãy luôn nhớ cảm ơn và vote 5*
nếu câu trả lời hữu ích nhé!
Đáp án:
`x = -56/25`
Giải thích các bước giải:
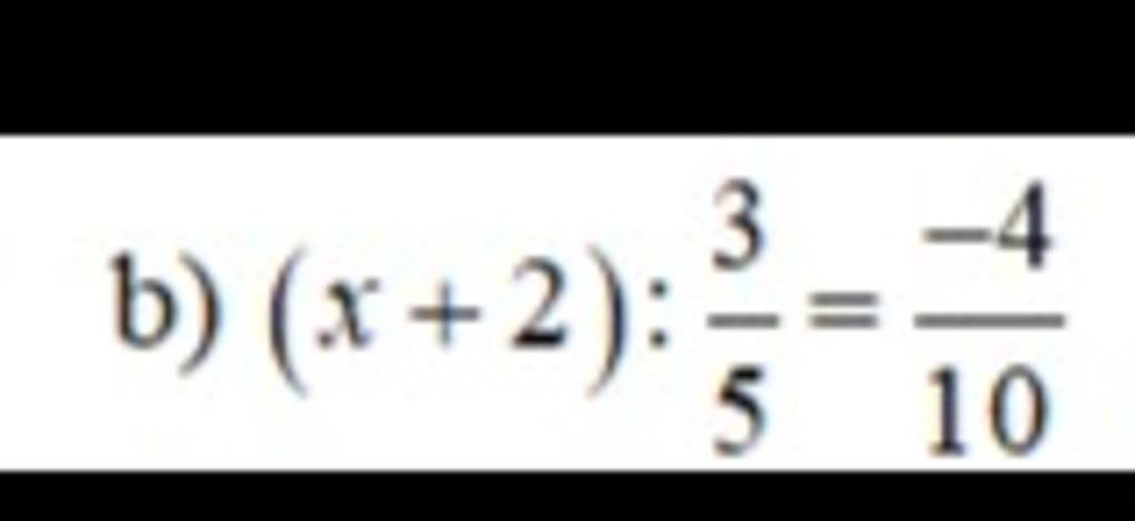
`b)`
`( x + 2 ) : 3/5 = {-4}/10`
`=> ( x + 2 ) : 3/5 = -2/5`
`=> x + 2 = ( -2/5 ). 3/5`
`=> x + 2 = -6/25`
`=> x = -6/25 - 2`
`=> x = -56/25`
$Vậy$ `x = -56/25`
Hãy giúp mọi người biết câu trả lời này thế nào?
![]()
Đáp án:
`x = - 56/25`
Giải thích các bước giải:
`b)` `( x + 2 ) : 3/5 =` $\dfrac{-4}{10}$
`⇔` `( x + 2 ) . 5/3 = - 2/5`
`⇔` `x + 2 = - 2/5 : 5/3`
`⇔` `x + 2 = - 2/5 . 3/5`
`⇔` `x + 2 = - 6/25`
`⇔` `x = - 6/25 - 2`
`⇔` `x = - 6/25 - 50/25`
`⇒` `x = - 56/25`
`Vậy` `x = - 56/25`
`
Hãy giúp mọi người biết câu trả lời này thế nào?
![]()
Bảng tin
0
7
0
nhanh vvaix
4278
90219
6255
:>>
1255
4470
1370
...