

Hãy luôn nhớ cảm ơn và vote 5*
nếu câu trả lời hữu ích nhé!
`@`
Đáp án:
`12`
Giải thích các bước giải:
` = 1/(x+2) - 1/(x+4) + 1/(x+4) - 1/(x+6) + 1/(x+8) - 1/(x+8) - 1/(x+14) = x/((x+2)(x+14))`
`=> 1/(x+2) - 1/(x+14) = x/((x+2)(x+14))`
`=> (x+14 - x -2)/((x+2)(x+14)) = x/((x+2)(x+14))`
`=> 12 = x`
Vậy `S = 12`
Hãy giúp mọi người biết câu trả lời này thế nào?
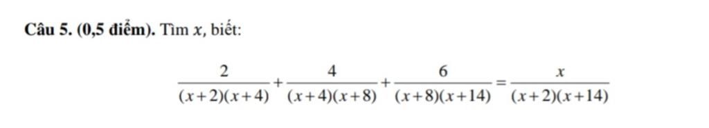
`2/((x+2)(x+4))` + `4/((x+4)(x+8))` + `6/((x+8)(x+14))` = `x/((x+2)(x+14))`
`= 1/(x+2) - 1/(x+4) + 1/(x+4) - 1/(x+6) + 1/(x+8) - 1/(x+8) - 1/(x+14)`
`= x/((x+2)(x+14))`
`⇒ 1/(x+2) - 1/(x+14) = x/((x+2)(x+14))`
`⇒ (x + 14 - x - 2)/((x+2)(x+14)) = x/((x+2)(x+14)`
⇒ `12` = `x`
⇒ `X` = `12`
Hãy giúp mọi người biết câu trả lời này thế nào?
Bảng tin
299
0
202
À ok cảm ơn bạn
299
0
202
`1/x+2`
299
0
202
`1/x+2`
299
0
202
`1/(x+2)`
299
0
202
`((x+14)-(x-2)/((x+2)(x+14)`
299
0
202
chỉ cách viết dòng câu 3 gần cuối vs
299
0
202
`(x+14)-x-2/((x+2)(x+14)`
299
0
202
lo