Vui lòng chỉ chọn một câu hỏi
Hoidap247.com Nhanh chóng, chính xác
+
Danh mục mới
210
13785
125
Hãy luôn nhớ cảm ơn và vote 5* nếu câu trả lời hữu ích nhé!
20
305
5
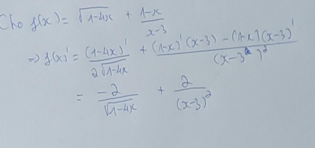
chữ mình hơi xấu tý nha , xin đánh giá 5 sao với câu trả lời hay nhất ạ
Hãy giúp mọi người biết câu trả lời này thế nào?
Bảng tin
Gửi yêu cầu Hủy