

Hãy luôn nhớ cảm ơn và vote 5*
nếu câu trả lời hữu ích nhé!
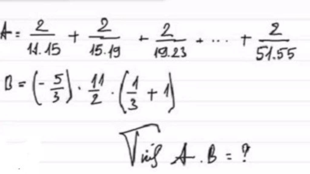
`A=2/(11 . 15)+2/(15 . 19)+2/(19 . 23)+...+2/(51 . 55)`
`->A=2 . (1/(11 . 15)+1/(15 . 19)+1/(19 . 23)+...+1/(51 . 55))`
`->A=2/4 . (1/11-1/15+1/15-1/19+1/19-1/23+...+1/51-1/55)`
`->A=2/4 . (1/11-1/55)`
`->A=2/4 . 4/55`
`->A=2/55`
`B=(-5/3) . 11/2 . (1/3+1)`
`->A=(-5/3) . 11/2 . 4/3`
`->A=-110/9`
Với `A . B`
`2/55 . (-11/9)`
`=-4/9`
Vậy, với `A . B` tích của hai biểu thức trên bằng `-4/9.`
Hãy giúp mọi người biết câu trả lời này thế nào?
Xin admin xóa cái câu trả lời này ;-;
Hãy giúp mọi người biết câu trả lời này thế nào?
Bảng tin