

Hãy luôn nhớ cảm ơn và vote 5*
nếu câu trả lời hữu ích nhé!
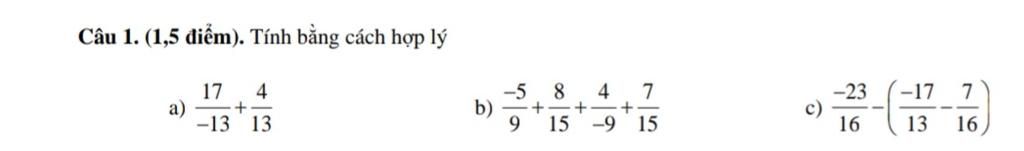
`a)` `17/-13 + 4/13`
`=` ` -17/13 + 4/13`
`=` $\dfrac{-17 + 4}{13}$
`= -13/13`
`= -1`
`b)`
`-5/9 + 8/15 + 4/-9 + 7/15`
`=` `(-5/9 + -4/9 ) + (8/15 + 7/15)`
`=` `-9/9 + 15/15`
`= -1 + 1`
`= 0`
`c)`
`-23/16 - ( -17/13 - 7/16 )`
`= -23/16 + 17/13 + 7/16`
`= (-23/16 + 7/16 ) + 17/13`
`= -16/16 + 17/13`
`= -1 + 17/13`
`= 4/13`
$#Cyen$
Hãy giúp mọi người biết câu trả lời này thế nào?
`a)` `17/-13 + 4/13`
`=` ` -17/13 + 4/13`
`=` $\dfrac{-17 + 4}{13}$
`= -13/13`
`= -1`
`b)`
`-5/9 + 8/15 + 4/-9 + 7/15`
`=` `(-5/9 + -4/9 ) + (8/15 + 7/15)`
`=` `-9/9 + 15/15`
`= -1 + 1`
`= 0`
`c)`
`-23/16 - ( -17/13 - 7/16 )`
`= -23/16 + 17/13 + 7/16`
`= (-23/16 + 7/16 ) + 17/13`
`= -16/16 + 17/13`
`= -1 + 17/13`
`= 4/13`
$#Rin$
Hãy giúp mọi người biết câu trả lời này thế nào?
Bảng tin
425
935
634
=))
7
1004
7
lo =))
425
935
634
ừ chào =))