

Hãy luôn nhớ cảm ơn và vote 5*
nếu câu trả lời hữu ích nhé!
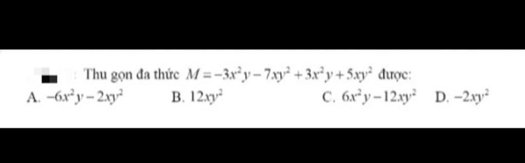
Đáp án+Giải thích các bước giải:
`M=-3x^2y-7xy^2+3x^2y+5xy^2`
`M=(-3x^2y+3x^2y)+(-7xy^2+5xy^2`)
`M=0x^2y-2xy^2`
`M=-2xy^2`
=> Chọn `D`
Hãy giúp mọi người biết câu trả lời này thế nào?
![]()
Bảng tin
0
59
0
cho mình hỏi là dòng thứ 2 dấu cộng ở giữa 2 tổng các đơn thức trong ngoặc là sao v ạ
0
59
0
kiểu như nó phải là dấu trừ chứ ạ
689
17194
689
để dấu trừ cũng được nha bạn
689
17194
689
tại mọi số + với 0 hay trừ với 0 cũng bằng chính nó
0
59
0
nhưng mình thay dấu trừ thì nó = 0 - 12xy^2= -12xy^2 á bạn
689
17194
689
đc nha bạn
0
59
0
thế sao lại có 2 kq khác nhau thì sao đc ạ