

Hãy luôn nhớ cảm ơn và vote 5*
nếu câu trả lời hữu ích nhé!

Đáp án:
$\begin{array}{l}
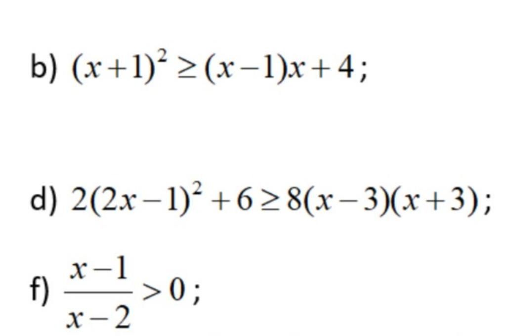
b){\left( {x + 1} \right)^2} \ge \left( {x - 1} \right).x + 4\\
\Leftrightarrow {x^2} + 2x + 1 \ge {x^2} - x + 4\\
\Leftrightarrow {x^2} - {x^2} + 2x + x \ge 4 - 1\\
\Leftrightarrow 3x \ge 3\\
\Leftrightarrow x \ge 1\\
Vậy\,x \ge 1\\
d)2{\left( {2x - 1} \right)^2} + 6 \ge 8\left( {x - 3} \right)\left( {x + 3} \right)\\
\Leftrightarrow 2.\left( {4{x^2} - 4x + 1} \right) + 6 \ge 8\left( {{x^2} - 9} \right)\\
\Leftrightarrow 8{x^2} - 8x + 2 + 6 \ge 8{x^2} - 72\\
\Leftrightarrow 8{x^2} - 8{x^2} - 8x \ge - 72 - 8\\
\Leftrightarrow - 8x \ge - 80\\
\Leftrightarrow x \le 10\\
Vậy\,x \le 10\\
f)\dfrac{{x - 1}}{{x - 2}} > 0\\
\Leftrightarrow \left[ \begin{array}{l}
\left\{ \begin{array}{l}
x - 1 > 0\\
x - 2 > 0
\end{array} \right.\\
\left\{ \begin{array}{l}
x - 1 < 0\\
x - 2 < 0
\end{array} \right.
\end{array} \right. \Leftrightarrow \left[ \begin{array}{l}
\left\{ \begin{array}{l}
x > 1\\
x > 2
\end{array} \right.\\
\left\{ \begin{array}{l}
x < 1\\
x < 2
\end{array} \right.
\end{array} \right. \Leftrightarrow \left[ \begin{array}{l}
x > 2\\
x < 1
\end{array} \right.\\
Vậy\,x < 1\,hoặc\,x > 2
\end{array}$
Hãy giúp mọi người biết câu trả lời này thế nào?

Bảng tin