

Hãy luôn nhớ cảm ơn và vote 5*
nếu câu trả lời hữu ích nhé!
Đáp án + Giải thích các bước giải:
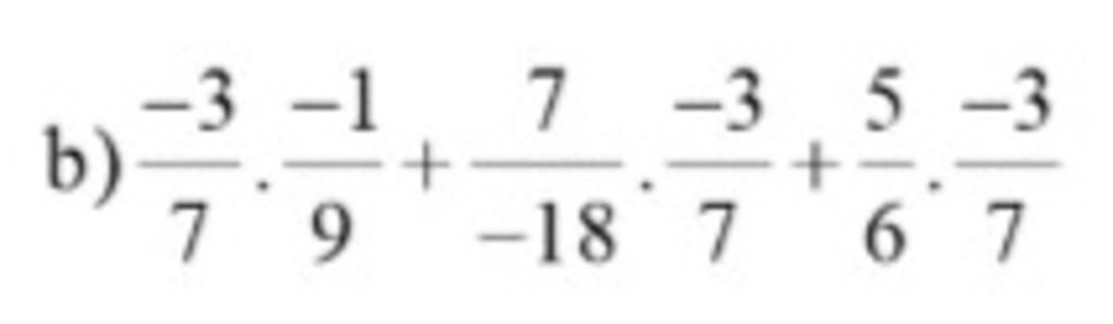
b)
$\frac{-3}{7}$ . $\frac{-1}{9}$ + $\frac{7}{-18}$ . $\frac{-3}{7}$ + $\frac{5}{6}$ . $\frac{-3}{7}$
= $\frac{-3}{7}$ . ( $\frac{-1}{9}$ + $\frac{7}{-18}$ + $\frac{5}{6}$ )
= $\frac{-3}{7}$ . ( $\frac{-2}{18}$ + $\frac{-7}{18}$ + $\frac{15}{18}$ )
= $\frac{-3}{7}$ . ( $\frac{(-2) + (-7) + 15}{18}$)
= $\frac{-3}{7}$ . $\frac{6}{18}$
= $\frac{-3. 6}{7. 18}$
= $\frac{-18}{126}$
= $\frac{-1}{7}$ .
$\text{Chúc Tus Học Tốt}$
Hãy giúp mọi người biết câu trả lời này thế nào?
Đáp án:
-18/126 = -1/7
Giải thích các bước giải:
- 3 / 7 . ( -1 / 9 + 7/-18 + 5/6 )
= -3/7 . ( -1 / 9 + -7/18 + 5/6 )
= -3/7 . ( -2 / 18 + -7/18 + 15/18 )
= -3/7 . ( 6/18 )
= -18 / 126 = -1/7
Hãy giúp mọi người biết câu trả lời này thế nào?
Bảng tin