

Hãy luôn nhớ cảm ơn và vote 5*
nếu câu trả lời hữu ích nhé!
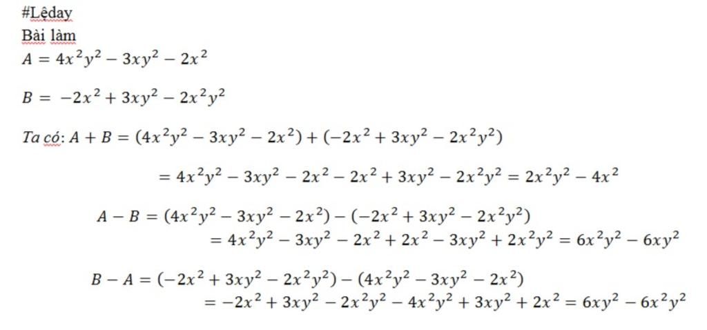
Ta có:
`A+B=(4x^2y^2-3xy^2-2x^2)+(-2x^2+3xy^2-2x^2y^2)`
`=4x^2y^2-3xy^2-2x^2-2x^2+3xy^2-2x^2y^2`
`=(4x^2y^2-2x^2y^2)+(-3xy^2+3xy^2)+(-2x^2-2x^2)`
`=2x^2y^2-4x^2`
`A-B=(4x^2y^2-3xy^2-2x^2)-(-2x^2+3xy^2-2x^2y^2)`
`=4x^2y^2-3xy^2-2x^2+2x^2-3xy^2+2x^2y^2`
`=(4x^2y^2+2x^2y^2)+(-3xy^2-3xy^2)+(-2x^2+2x^2)`
`=6x^2y^2-6xy^2`
`B-A=(-2x^2+3xy^2-2x^2y^2)-(4x^2y^2-3xy^2-2x^2)`
`=-2x^2+3xy^2-2x^2y^2-4x^2y^2+3xy^2+2x^2`
`=(-2x^2+2x^2)+(3xy^2+3xy^2)+(-2x^2y^2-4x^2y^2)`
`=6xy^2-6x^2y^2`
Hãy giúp mọi người biết câu trả lời này thế nào?

Bảng tin