

Hãy luôn nhớ cảm ơn và vote 5*
nếu câu trả lời hữu ích nhé!
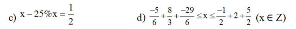
`c)` `x - 25%x = 1/2`
`⇒ x . ( 1 - 25% ) = 1/2`
`⇒ x . 3/4 = 1/2`
`⇒ x = 1/2 : 3/4`
`⇒ x = 2/3`
`\text{Vậy}` `x = 2/3`
_________________________________________________________________
`d)` `(-5)/6 + 8/3 + (-29)/6 <= x <= (-1)/2 + 2 + 5/2 ( x ∈ Z )`
`⇒ (-5)/6 + 16/6 + (-29)/6 <= x <= (-1)/2 + 4/2 + 5/2`
`⇒` `(-5+16+ (-29))/6 <= x <= (-1+4+5)/2`
`⇒ (-18)/6 <= x <= 8/2`
`⇒ -3 <= x <= 4`
`\text{Vì}` `x ∈ Z ⇒ x ∈ { -3 ; -2 ; -1 ; 0 ; 1 ; 2 ; 3 ; 4 }`
`\text{Vậy}` `x ∈ { -3 ; -2 ; -1 ; 0 ; 1 ; 2 ; 3 ; 4 }`
Hãy giúp mọi người biết câu trả lời này thế nào?

`c) x -25%x =1/2`
`x -1/4 x =1/2`
`(1-1/4) x =1/2`
`(4/4 -1/4)x =1/2`
`3/4 x =1/2`
`x =1/2 :3/4`
`x =1/2 xx4/3`
`x = 2/3`
Vậy `x=2/3`
______________________________________________
`d) -5/6 +8/3 +(-29)/6<= x<= -1/2 +2 +5/2`
`-5/6 + 16/6 -29/6 <=x <= -1/2 +4/2 +5/2`
`-18/6 <=x <= 8/2`
`-3 <= x<=4`
Vì `x in ZZ => x in {-3;-2;-1;0;1;2;3;4}`
Vậy `x in {-3;-2;-1;0;1;2;3;4}`
Hãy giúp mọi người biết câu trả lời này thế nào?

Bảng tin