Vui lòng chỉ chọn một câu hỏi
Hoidap247.com Nhanh chóng, chính xác
+
Danh mục mới
3
759
Hãy luôn nhớ cảm ơn và vote 5* nếu câu trả lời hữu ích nhé!
1360
22396
1067
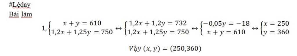
#Lệday
Bài làm
Hãy giúp mọi người biết câu trả lời này thế nào?
ý b đợi mình 1 xíu nha
2336
50
2347
kí tên tk ko kí bd ạ
?:)
? gì
kí tên tk ko kí bd ạ => ???:)
kí tên hoidap ko kí biệt danh
Ò vanggg :3
;-;
Xem thêm:
Bảng tin
Gửi yêu cầu Hủy
1360
22396
1067
ý b đợi mình 1 xíu nha
2336
50
2347
kí tên tk ko kí bd ạ
1360
22396
1067
?:)
2336
50
2347
? gì
1360
22396
1067
kí tên tk ko kí bd ạ => ???:)
2336
50
2347
kí tên hoidap ko kí biệt danh
1360
22396
1067
Ò vanggg :3
2336
50
2347
;-;