Đăng nhập để hỏi chi tiết


Hãy luôn nhớ cảm ơn và vote 5*
nếu câu trả lời hữu ích nhé!
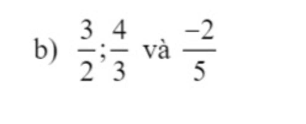
có $\frac{3}{2}$ =$\frac{45}{30}$
$\frac{4}{3}$ =$\frac{40}{30}$
$\frac{-2}{5}$ =$\frac{-12}{30}$
do $\frac{45}{30}$ > $\frac{40}{30}$ >$\frac{-12}{30}$
=>$\frac{3}{2}$ > $\frac{4}{3}$ > $\frac{-2}{5}$
Hãy giúp mọi người biết câu trả lời này thế nào?

Bảng tin