PH/HS Tham Gia Nhóm Lớp 10 Để Trao Đổi Tài Liệu, Học Tập Miễn Phí!
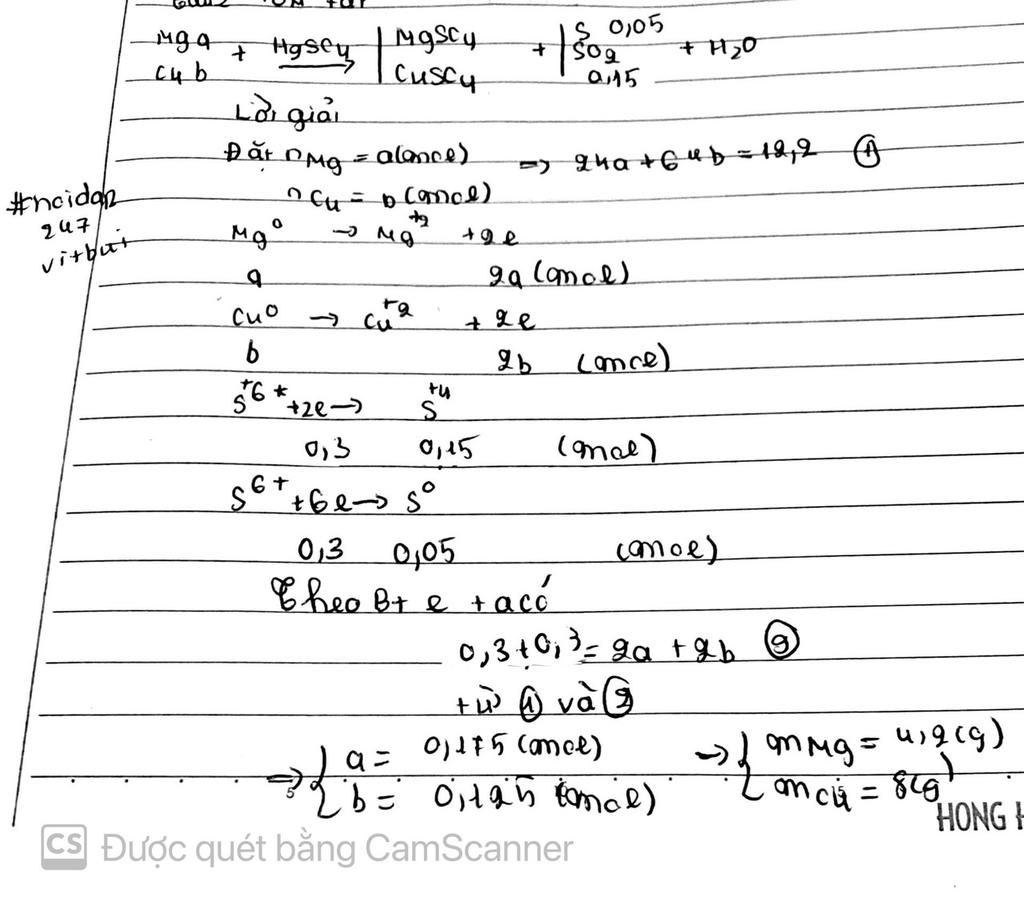
Câu 2: Cho 12,2 gam hồn hợp Mg và Cu tan hết trong dd H2SO4 đặc nóng du. Sau phản ứng thu
được 1,6 gam S và 3,36 lít SO2 (dktc). Tính khối lượng Mg và Cu trong hỗn hop đầu ?
Bài 3: Cho 5,4 gam kim loại R tan hoàn toàn trong H2SO4 đặc nóng, phản ứng kết thúc thu được
dd muối X và 6,72 l ...
920
13161
1024
Bài 2 là bài nào 3 là bài nào
796
13344
534
mình có ghi mà
796
13344
534
bài 3 là trang đầu , bài 2 là trang sau
920
13161
1024
Ok
796
13344
534
mình xin câu trả lời hay nhất :))