

Hãy luôn nhớ cảm ơn và vote 5*
nếu câu trả lời hữu ích nhé!
Đáp án:
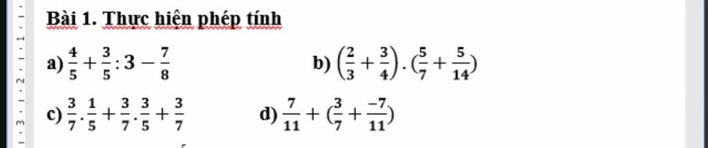
`a)4/5+3/5 :3-7/81` `=\frac{1}{8}`
`b)(2/3+3/4)*(5/7+5/14)` `=\frac{85}{56}`
`c)3/7*1/5+3/7*3/5+3/7` `=\frac{27}{35}`
`d)7/11+(3/7+(-7)/11)` `=\frac{3}{7}`
Giải thích các bước giải:
`a)4/5+3/5 :3-7/81`
`=4/5+(3/5 :3)-7/8`
`=\frac{4}{5}+\frac{1}{5}-\frac{7}{8}`
`=\frac{5}{5}-\frac{7}{8}`
`=\frac{1}{8}`
`b)(2/3+3/4)*(5/7+5/14)`
`=\frac{17}{12}* \frac{15}{14}`
`=\frac{85}{56}`
`c)3/7*1/5+3/7*3/5+3/7`
`=3/7*(1/5+3/5)+3/7`
`=\frac{3}{7}*\frac{4}{5}+\frac{3}{7}`
`=\frac{12}{35}+\frac{3}{7}`
`=\frac{27}{35}`
`d)7/11+(3/7+(-7)/11)`
`=\frac{7}{11}+\frac{3}{7}-\frac{7}{11}`
`=(7/11+3/7)-7/11`
`=\frac{82}{77}-\frac{7}{11}`
`=\frac{3}{7}`
Hãy giúp mọi người biết câu trả lời này thế nào?

` a) 4/5 + 3/5 : 3 - 7/8 `
` = 4/5 + 3/5 . 1/3 - 7/8 `
` = 4/5 + 1/5 - 7/8 `
` = 1 - 7/8 `
` = 1/8 `
______________________
` b) ( 2/3 + 3/4 ) . ( 5/7 + 5 / [ 14 ] ) `
` = ( 8 / [ 12 ] + 9 / [ 12 ] ) . ( [ 10 ] / [ 14 ] + 5 / [ 14 ] ) `
` = [ 17 ] / [ 12 ] . [ 15 ] / [ 14 ] `
` = [ 85 ] / [ 56 ] `
________________________
` c) 3/7 . 1/5 + 3/7 . 3/5 + 3/7 `
` = 3/7 . ( 1/5 + 3/5 + 1 ) `
` = 3/7 . 9/5 `
` = [ 27 ] / [ 35 ] `
________________________
` d) 7 / [ 11 ] + ( 3/7 + [ -7 ] / [ 11 ] ) `
` = 7 / [ 11 ] + 3/7 + [ -7 ] / [ 11 ] `
` = 7 / [ 11 ] - 7 / [ 11 ] + 3/7 `
` = 3/7 `
Hãy giúp mọi người biết câu trả lời này thế nào?

Bảng tin
138
-1140
363
Có fb e mad quen hong
3977
783
3231
Hongnhooo*(
138
-1140
363
Em Quang
138
-1140
363
Nhớ ko z
138
-1140
363
Cj nhi ơi giúp e tiếp ik
3977
783
3231
where ??
138
-1140
363
https://hoidap247.com/cau-hoi/4119704
138
-1140
363
Đây giúp e ik