Vui lòng chỉ chọn một câu hỏi
Hoidap247.com Nhanh chóng, chính xác
+
Danh mục mới
0
62
Hãy luôn nhớ cảm ơn và vote 5* nếu câu trả lời hữu ích nhé!
4764
103570
4331
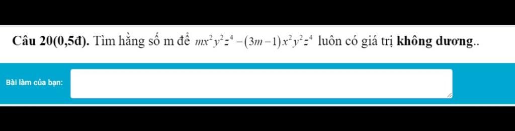
Đáp án `+` Giải thích các bước giải:Xét :`(3m-1)x^{2}y^{2}z^{4} - mx^{2}y^{2}z^{4}``=(2m-1)x^{2}y^{2}z^{2}`Đơn thức trên luôn dương `=>2m-1>0``<=>m > 1/2`
Hãy giúp mọi người biết câu trả lời này thế nào?
Bảng tin
Gửi yêu cầu Hủy