

Hãy luôn nhớ cảm ơn và vote 5*
nếu câu trả lời hữu ích nhé!

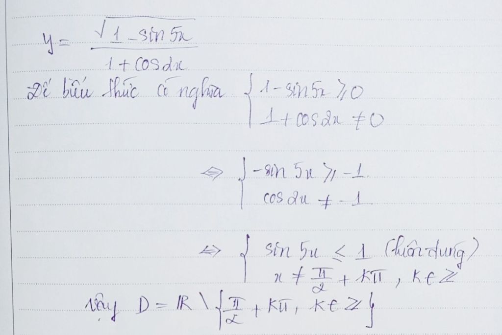
Đáp án:
TXĐ: D=R/{\( \frac{\pi}{2}+k\pi\)}
Giải thích các bước giải:
\(y=\frac{\sqrt{1-sin5x}}{1+cos2x}\)
ĐK: \(\left\{\begin{matrix} 1-Sin5x \geq 0
& & \\ 1 +cos2x \neq 0
& &
\end{matrix}\right.\)
\(\left\{\begin{matrix} Sin5x \leq 1 (luôn đúng)
& & \\ cos2x \neq -1
& &
\end{matrix}\right.\)
\(\leftrightarrow cos2x \neq -1 \leftrightarrow 2x \neq \pi+k2\pi \leftrightarrow x \neq \frac{\pi}{2}+k\pi\)
TXĐ: D=R/{\( \frac{\pi}{2}+k\pi\)}
Hãy giúp mọi người biết câu trả lời này thế nào?


Bảng tin