Tham Gia Group Dành Cho Lớp 9 - Ôn Thi Vào Lớp 10 Miễn Phí
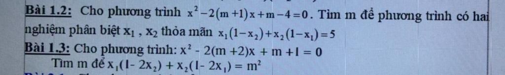
Bài 1.2: Cho phương trình x-2(m +1)x+m-4 =0. Tim m đế phương trình có hai
nghiệm phân biệt x1 , X2 thỏa mãn x,(1-x,)+x,(1-x;) =5
Bài 1.3: Cho phương trình: x² - 2(m +2)x + m +1 = 0
Tìm m để x,(I- 2x,) + x,(I- 2x,) = m2