

Hãy luôn nhớ cảm ơn và vote 5*
nếu câu trả lời hữu ích nhé!

Đây là câu trả lời đã được xác thực
Câu trả lời được xác thực chứa thông tin chính xác và đáng tin cậy, được xác nhận hoặc trả lời bởi các chuyên gia, giáo viên hàng đầu của chúng tôi.
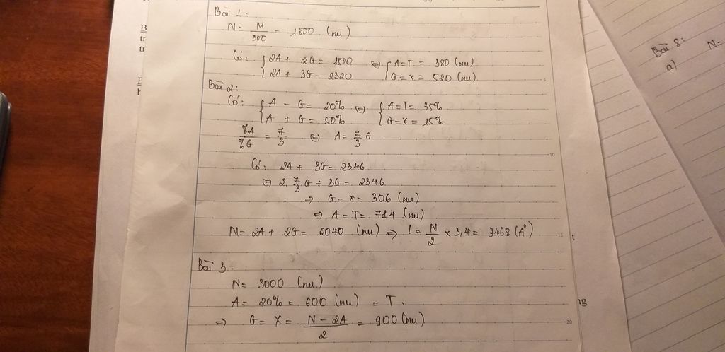
Bài 1: Số nucleotit của gen: 540000 : 300 = 1800 nu
Ta có: 2A + 2G = 1800 mà H = 3G + 2A = 2320
⇒ A = T = 580; G = X = 320
Bài 2:
Theo bài ra ta có: A - G = 20% mà A + G = 50%
→ A = T = 35%; G = X = 15%.
Gọi N là số nucleotit của gen.l
35%N x 2 + 15%N x 3 = 2346
⇒ N = 2040.
Chiều dài gen: 2040 : 2 x 3,4 = 3468 Angstrong
Bài 3:
Số nucleotit của gen: 5100 : 3,4 x 2 = 3000 nu
A = T = 20% x 3000 = 600
G = X = 30% x 3000 = 900
Hãy giúp mọi người biết câu trả lời này thế nào?
Bảng tin