

Hãy luôn nhớ cảm ơn và vote 5*
nếu câu trả lời hữu ích nhé!
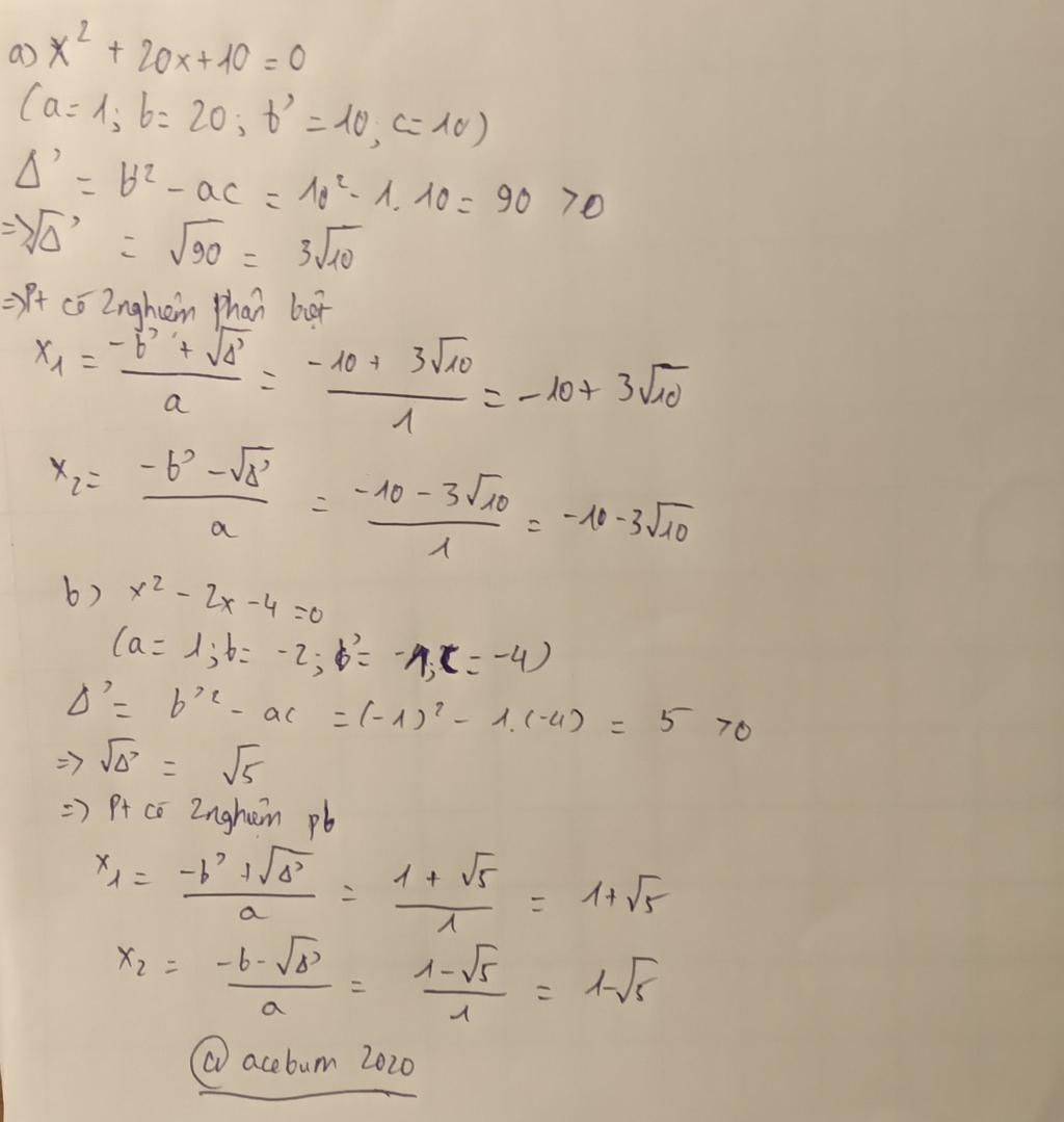
Đáp án+Giải thích các bước giải:
`a)x^2+20x+10=0`
Đối với phương trình này: `a=1, b=20, c=10`
`x=(-b±\sqrt{b^2-4ac})/(2a)`
`x=(−(20)±\sqrt{20^2-4.1.10})/(2.1)`
`x=(−20±\sqrt{360})/2`
`=>`\(\left[ \begin{array}{l}x=−10+3\sqrt{10}\\x=−10−3\sqrt{10}\end{array} \right.\)
`b, x^2 - 2x -4=0`
Đối với phương trình này: ` a=1, b=-2, c=-4`
`x=(−b±\sqrt{b^2-4ac})/(2a)`
`x=(−(−2)±\sqrt{(-2)^2-4.1.(-4)})/(2.1)`
`x=(2±\sqrt{20})/2`
`=>`\(\left[ \begin{array}{l}x=1+\sqrt{5}\\x=1-\sqrt{5}\end{array} \right.\)
Hãy giúp mọi người biết câu trả lời này thế nào?
Bảng tin
438
10935
892
hehe thiểu năng =)))
287
4798
314
thiểu năng gì=))
438
10935
892
=)))
287
4798
314
alo=)
287
4798
314
alo=)
438
10935
892
tk nào vote 1 sao bố
287
4798
314
ko bt
287
4798
314
t vote 5 sao mà