

Hãy luôn nhớ cảm ơn và vote 5*
nếu câu trả lời hữu ích nhé!
Đây là câu trả lời đã được xác thực
Câu trả lời được xác thực chứa thông tin chính xác và đáng tin cậy, được xác nhận hoặc trả lời bởi các chuyên gia, giáo viên hàng đầu của chúng tôi.
Đáp án:
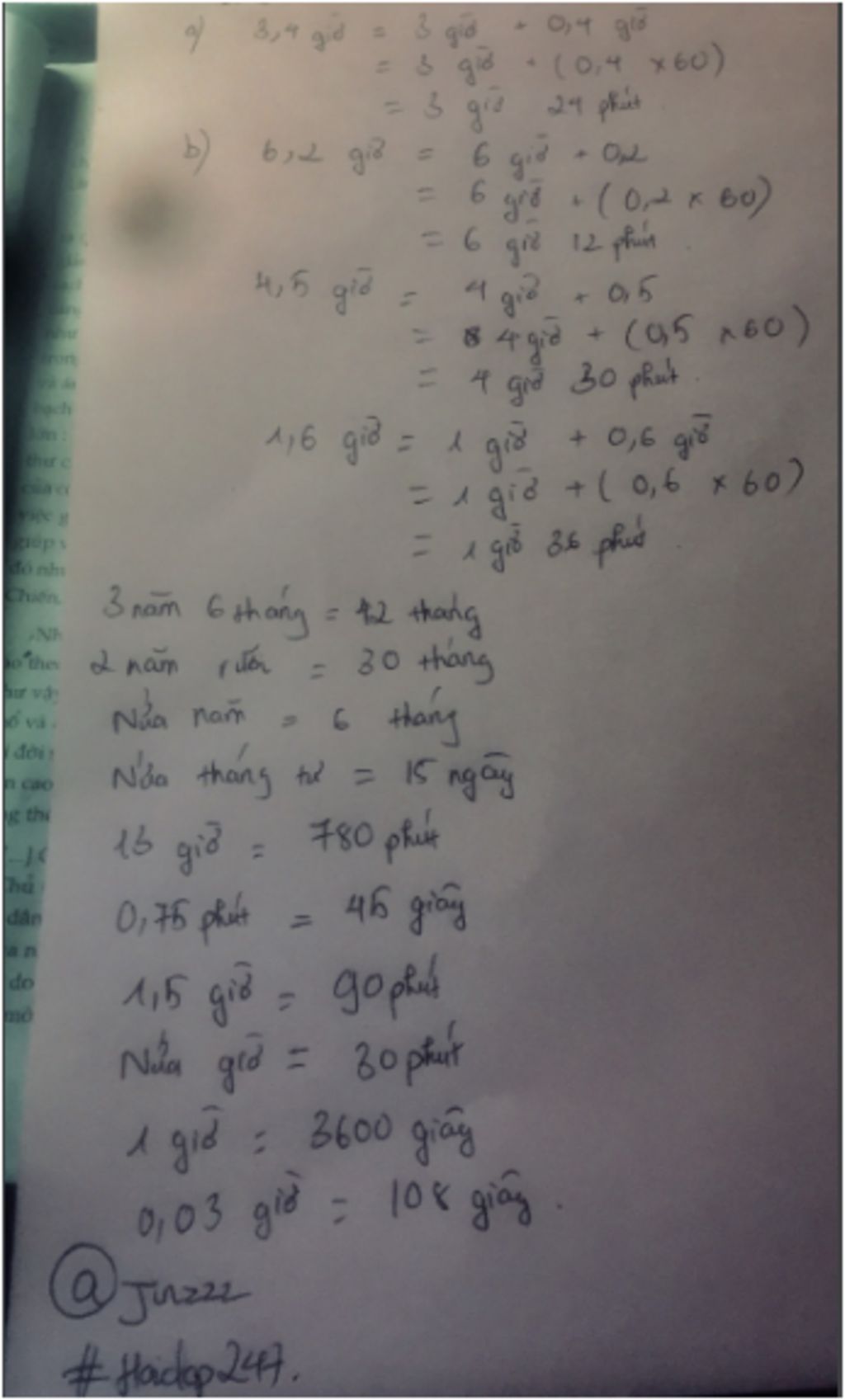
3,4 giờ = 3 giờ 24 phút 6,2 giờ = 6 giờ 12 phút
4,5 giờ = 4 giờ 30 phút 1,6 giờ = 1 giờ 36 phút
3 năm 6 tháng = 42 tháng 2 năm rưỡi = 30 tháng
nửa năm = 6 tháng nửa tháng tư = 15 ngày
13 giờ = 780 phút 0,75 phút = 45 giây
1,5 giờ = 90 phút nửa giờ = 30 phút
1 giờ = 3600 giây 0,03 giờ = 108 giây
$\color{blue}{\text{lisacute123}}$
Hãy giúp mọi người biết câu trả lời này thế nào?
![]()
Đây là câu trả lời đã được xác thực
Câu trả lời được xác thực chứa thông tin chính xác và đáng tin cậy, được xác nhận hoặc trả lời bởi các chuyên gia, giáo viên hàng đầu của chúng tôi.
$\text{Chu Choa Mạ Ơi bài ở dưới hình nha:>}$
$\textit{#Jinzzz}$
Hãy giúp mọi người biết câu trả lời này thế nào?
![]()
Zui gớt nước mắc nha táu:)))
haha
đây là cái acc thứ 3 pác cày lại ròu:))) Nhiều gian nan gke ghớm:>>>>
táu cx z
táu cày lại lần thứ mấy ròiiii:>>
èm.. lần thứ `4`
=)))) tke là hơn pác r:) Pác nhiều acc mà pác cày có mấy cái à:) Mấy cái kia pác cày đc mấy hôm nản nên pác bỏ luôn :)
haha..
Bảng tin