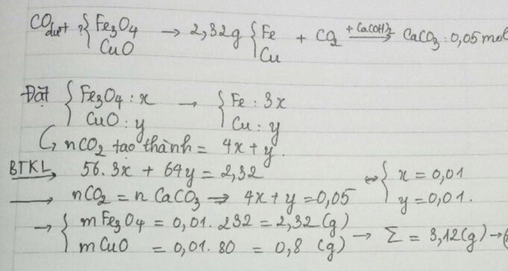
thổi một luồng khí CO dư đi qua ống sử đựng hỗn hợp hai oxit Fe3O4 và CuO nung nóng dến khi phản ứng xảy ra hoàn toàn thu được 2,32gam hỗn hợp kim loại . khí thoát ra đưa vào bình đựng dung dịch Ca(OH)2 dư thấy có 5 gam kết tủa trắng . tính khối lượng hỗn hợp hai oxit kim loại ban đầu ?