Vui lòng chỉ chọn một câu hỏi
Hoidap247.com Nhanh chóng, chính xác
+
Danh mục mới
0
17
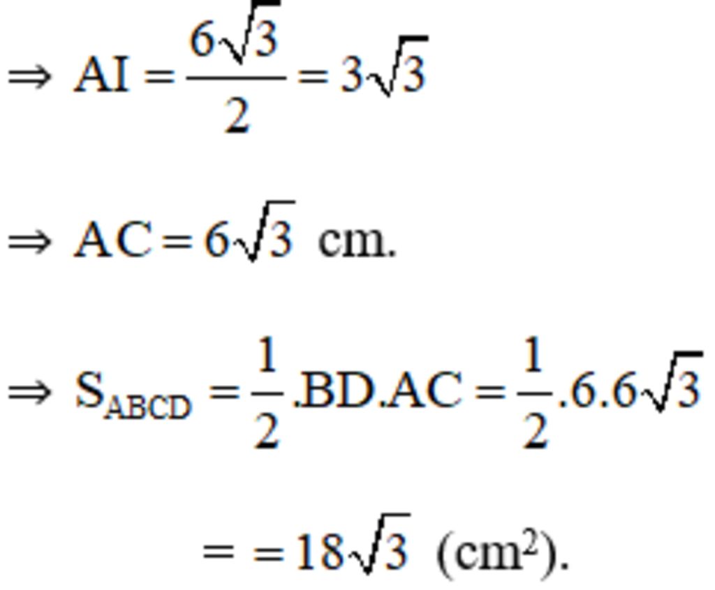
Tính diện tích hình thoi có cạnh dài 6cm và một trong các góc của nó có số đo là 60o.
Hãy luôn nhớ cảm ơn và vote 5* nếu câu trả lời hữu ích nhé!
770
25
693
ΔABD là tam giác đều nên BD = AB = 6cm
I là giao điểm của AC và BD => AI ⊥ DB
⇒ AI là đường cao của tam giác đều ABD nên
Hãy giúp mọi người biết câu trả lời này thế nào?
uk
Tại mình lên viêtjack ko hiểu nên mới hỏi mà cậu lại sao chép
để mình sửa nha
Khi đó ∆ABC là tam giác đều. Từ B vẽ BH ⊥ AD thì HA = HD. Nên tam giác vuông AHB là nửa tam giác đều, BH là đường cao tam giác đều cạnh 6cm, BH = 6 √ 3 2 = 3√ 3 (cm) Nên SABCD = BH. AD = 3√ 3. 6 = 18√ 3 (cm2)
Bảng tin
Gửi yêu cầu Hủy
770
25
693
uk
0
17
0
Tại mình lên viêtjack ko hiểu nên mới hỏi mà cậu lại sao chép
770
25
693
để mình sửa nha
770
25
693
Khi đó ∆ABC là tam giác đều. Từ B vẽ BH ⊥ AD thì HA = HD. Nên tam giác vuông AHB là nửa tam giác đều, BH là đường cao tam giác đều cạnh 6cm, BH = 6 √ 3 2 = 3√ 3 (cm) Nên SABCD = BH. AD = 3√ 3. 6 = 18√ 3 (cm2)