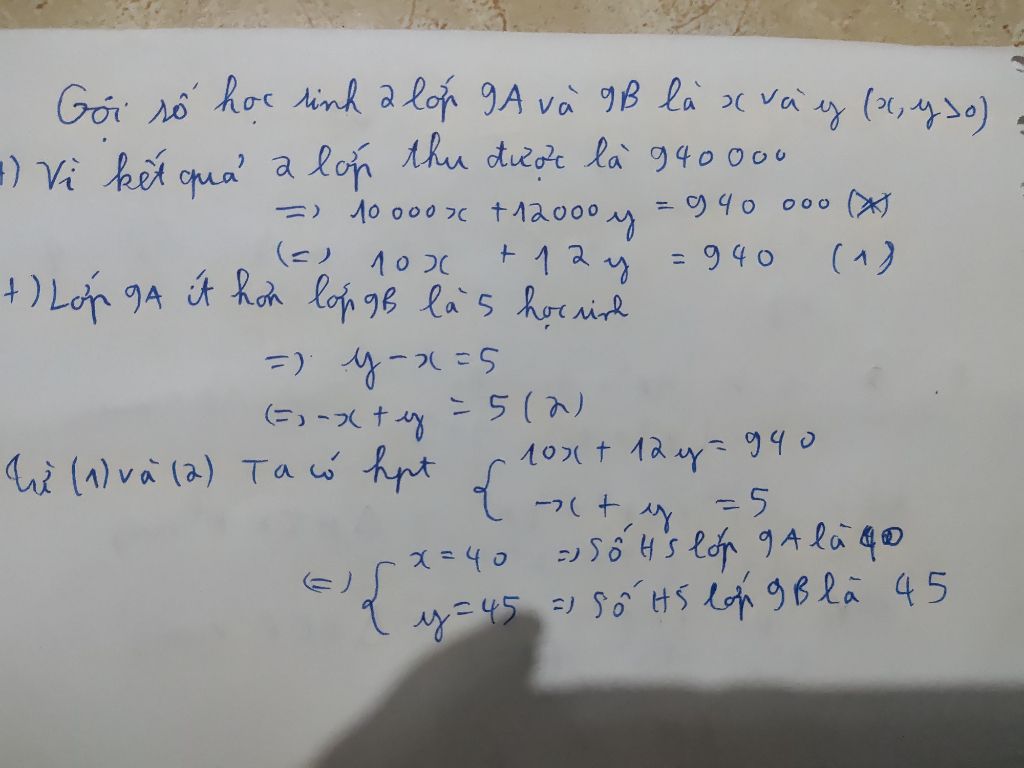
Hưởng ứng phong trào nuôi lợn siêu trọng tập thể lớp 9a và 9b của 1 trường THCS đã tích cực tham gia,kts quả cả 2 lớp thu được 940000 đồng ,trong đó trung bình mỗi học sinh lớp 9a góp được 10000 đồng và mỗi học sinh lớp 9a góp ít hơn 1 học sinh lớp 9b là 2000 đồng. Tính số học sinh của 2 lớp biết lớp 9a là 5 học sinh
giúp mk vs ik mn, xong mk vote cho nà