

Hãy luôn nhớ cảm ơn và vote 5*
nếu câu trả lời hữu ích nhé!
Đáp án:
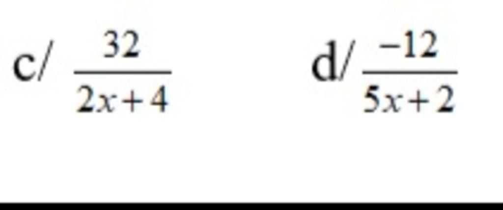
c/ Để $\frac{32}{2x+4}$ ∈ Z thì 2x+4 ∈ Ư(32) = {-1;1;-32;32;-2;2;-16;16;-4;4;-8;8}
=> 2x ∈ {-5;-4;-36;28;-6;-2;-20;12;-8;0;-12;4}
=> x ∈ {-2;-18;14;-3;-1;-10;6;-4;0;-6;2}
Vậy x ∈ {-2;-18;14;-3;-1;-10;6;-4;0;-6;2}.
d/ Để $\frac{-12}{5x+2}$ ∈ Z thì 5x+2 ∈ Ư(-12)={1;-1;12;-12;2;-2;6;-6;3;-3;4;-4}
=> 5x ∈ {-1;-3;10;-14;0;-4;4;-8;1;-5;2;-6}
=> x ∈ {2;-1}
Vậy x ∈ {2;-1}
#Hoctot
@Narry
Hãy giúp mọi người biết câu trả lời này thế nào?
`c/`
`32/(2x+ 4) `
`2x+ 4 in Ư(32) `
`=> 2x + 4 in { - 1 ; -2 ; -4 ; -8 ; - 16 ; - 32 ; 1 ; 2 ; 4 ; 8 ; 16 ; 32 } `
`=> x in { - 2 ; -18 ; 14 ; - 3 ; - 1 ; -10 ; 6 ; -4 ; 0 ; - 6 ; 2 } `
`d/`
`-12/( 5x + 2 ) `
`=> 5x + 2 in Ư(12) `
`=> 5x + 2 in { - 1 ; 1 ; - 2 ; 2 ; -6 ; 6 ; -12 ; 12 } `
`=> x in { - 1 ; 2 } `
Hãy giúp mọi người biết câu trả lời này thế nào?
Bảng tin
7
1102
3
Xin ctlhn ^^