

Hãy luôn nhớ cảm ơn và vote 5*
nếu câu trả lời hữu ích nhé!
Đáp án + Giải thích các bước giải:
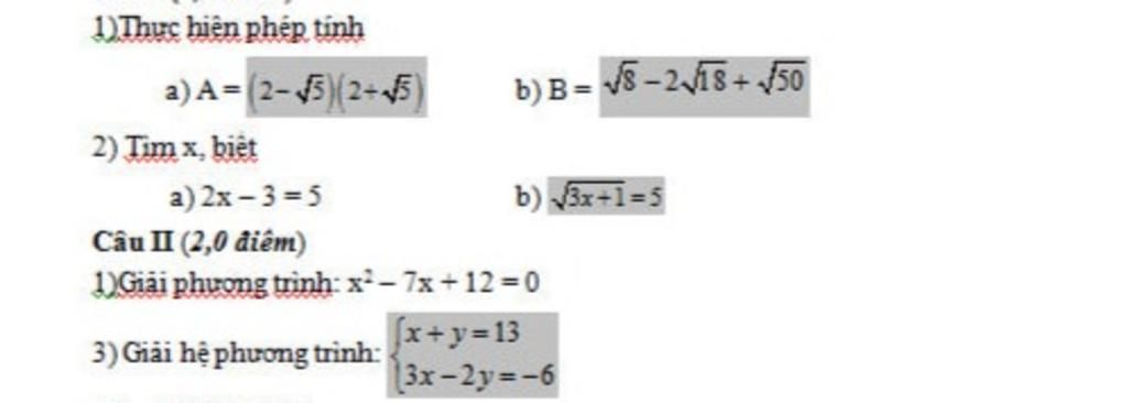
1)
a) `A=(2-\sqrt{5})(2+\sqrt{5})`
`= 4-5`
`= -1`
Vậy `A= -1`
b) `A=(\sqrt{8}-2\sqrt{18}+\sqrt{50}`
`= 2\sqrt{2}-6\sqrt{2}+5\sqrt{2}`
`= \sqrt{2}.(2-6+5)`
`= \sqrt{2}`
Vậy `B= \sqrt{2}`
2)
a) `2x-3 =5`
`<=>2x=2`
`<=>x=1`
Vậy `x=1`
b) ` \sqrt{3x+1}=5` ĐK; `x≥-1/3`
`<=>3x+1=25`
`<=>3x=24`
`<=>x=8`
Vậy `x=8`
Câu II:
1) `x^2-7x+12=0`
`<=>x^2-3x-4x+12=0`
`<=>x(x-3)-4(x-3)=0`
`<=>(x-4)(x-3)=0`
⇔$\left[\begin{matrix} x-4=0\\ x-3=0\end{matrix}\right.$
⇔$\left[\begin{matrix} x=4\\ x=3\end{matrix}\right.$
Vậy `S ∈ {3;4}`
2) `{(x+y=13),(3x-2y=-6):}`
`<=>{(2x+2y=26),(3x-2y=-6):}`
`<=>{(5x=20),(3x-2y=-6):}`
`<=>{(x=4),(3.4-2y=-6):}`
`<=>{(x=4),(y=9):}`
Vậy hệ pt có tập nghiệm duy nhất`{(x=4),(y=9):}`
Hãy giúp mọi người biết câu trả lời này thế nào?
Đáp án:
Giải thích các bước giải:
cho mik xin ctlhn ạ
Hãy giúp mọi người biết câu trả lời này thế nào?
Bảng tin
187
687
148
Vào nhóm mik ko ạ
1272
628
1879
thoi ạ