

Hãy luôn nhớ cảm ơn và vote 5*
nếu câu trả lời hữu ích nhé!
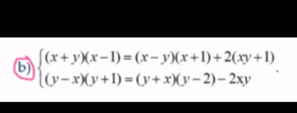
Đáp án + Giải thích các bước giải:
`{((x+y)(x-1)=(x-y)(x+1)+2(xy+1)),((y-x)(y+1)=(y+x)(y-2)-2xy):}`
`⇔ {(x^2-x+xy-y=x^2+x-xy-y+2xy+2),(y^2+y-xy-x=y^2-2y+xy-2x-2xy):}`
`⇔ {((x^2-x^2)-(x+x)+(xy+xy-2xy)=2),((y^2-y^2)+(y+2y)-(xy+xy-2xy)-(x-2x)=0):}`
`⇔ {(-2x=2),(x+3y=0):}`
`⇔ {(x=-1),(-1+3y=0):}`
`⇔ {(x=-1),(x=--1/3):}`
Vậy hệ phương trình có nghiệm `(x;y)=(-1;1/3)`
Hãy giúp mọi người biết câu trả lời này thế nào?
Giải thích các bước giải:
$\begin{cases}(x+y)(x-1)=(x-y)(x+1)+2(xy+1)\\(y-x)(y+1)=(y+x)(y-2)-2xy\end{cases}$
`<=>`$\begin{cases}x^2 -x+xy-y=x^2 +x-xy-y+2xy+2\\y^2 +y-xy-x=y^2 -2y+xy-2x-2xy\end{cases}$
`<=>`$\begin{cases}x^2 -x+xy-y-x^2 -x+xy+y-2xy=2\\y^2 +y-xy-x-y^2 +2y-xy+2x+2xy=0\end{cases}$
`<=>`$\begin{cases}-2x=2\\3y+x=0\end{cases}$
`<=>`$\begin{cases}x=-1\\3y+x=0\end{cases}$
`<=>`$\begin{cases}x=-1\\3y-1=0\end{cases}$
`<=>`$\begin{cases}x=-1\\3y=1\end{cases}$
`<=>`$\begin{cases}x=-1\\y=\dfrac{1}{3}\end{cases}$
`\text{Vậy hệ phương trình có nghiệm: (x ; y)}=(-1; 1/3)`
Hãy giúp mọi người biết câu trả lời này thế nào?
Bảng tin
3405
68093
2140
xem lại bài
2519
66541
2056
đợi tí ạ