

Hãy luôn nhớ cảm ơn và vote 5*
nếu câu trả lời hữu ích nhé!
#andy
\[\begin{array}{l}
\left\{ \begin{array}{l}
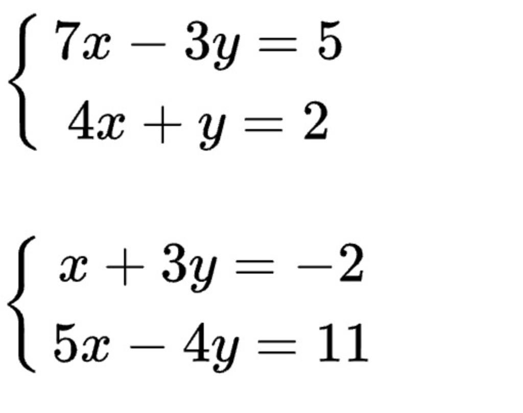
7x - 3y = 5\\
4x + y = 2
\end{array} \right.\\
\Leftrightarrow \left\{ \begin{array}{l}
7x - 3y = 5\\
12x + 3y = 6
\end{array} \right.\\
\Leftrightarrow \left\{ \begin{array}{l}
19x = 11\\
7x - 3y = 5
\end{array} \right.\\
\Leftrightarrow \left\{ \begin{array}{l}
x = \dfrac{{11}}{{19}}\\
3y = 7.\dfrac{{11}}{{19}} - 5
\end{array} \right.\\
\Leftrightarrow \left\{ \begin{array}{l}
x = \dfrac{{11}}{{19}}\\
y = - \dfrac{6}{{19}}
\end{array} \right.
\end{array}\]
Vậy Hệ phương trình có nghiệm duy nhất là: `x={11}/{19}; y=-{6}/{19}`
\[\begin{array}{l}
\left\{ \begin{array}{l}
x + 3y = - 2\\
5x - 4y = 11
\end{array} \right.\\
\Leftrightarrow \left\{ \begin{array}{l}
x = - 2 - 3y\\
5x - 4y = 11
\end{array} \right.\\
\Leftrightarrow \left\{ \begin{array}{l}
x = - 2 - 3y\\
5\left( { - 2 - 3y} \right) - 4y = 11
\end{array} \right.\\
\Leftrightarrow \left\{ \begin{array}{l}
x = - 2 - 3y\\
- 10 - 15y - 4y = 11
\end{array} \right.\\
\Leftrightarrow \left\{ \begin{array}{l}
x = - 2 - 3y\\
y = - \dfrac{{21}}{{19}}
\end{array} \right.\\
\Leftrightarrow \left\{ \begin{array}{l}
x = - 2 - 3.\left( { - \dfrac{{21}}{{19}}} \right)\\
y = - \frac{{21}}{{19}}
\end{array} \right.\\
\Leftrightarrow \left\{ \begin{array}{l}
x = \dfrac{{25}}{{19}}\\
y = - \dfrac{{21}}{{19}}
\end{array} \right.
\end{array}\]
Vậy hệ phương trình này có nghiệm duy nhất `x={25}/{19}; y=-{21}/{19}`
Hãy giúp mọi người biết câu trả lời này thế nào?
Đáp án + Giải thích các bước giải:
`a.`
`{(7x-3y=5),(4x+y=2):}`
`⇔{(7x-3y=5),(12x+3y=6):}`
`⇔{(19x=11),(4x+y=2):}`
`⇔{(x=11/19),(4. 11/19+y=2):}`
`⇔{(x=11/19),(44/19+y=2):}`
`⇔{(x=11/19),(y=-6/19):}`
Vậy hệ phương trình có nghiệm duy nhất là `(11/19;-6/19)`
`b.`
`{(x+3y=-2),(5x-4y=11):}`
`⇔{(5x+15y=-10),(5x-4y=11):}`
`⇔{(19y=-21),(x+3y=-2):}`
`⇔{(y=-21/19),(x+3y=-2):}`
`⇔{(y=-21/19),(x+ 3. (-21)/19=-2):}`
`⇔{(y=-21/19),(x-63/19=-2):}`
`⇔{(y=-21/19),(x=25/19):}`
Vậy hệ phương trình có nghiệm duy nhất là `(25/19;-21/19)`
Hãy giúp mọi người biết câu trả lời này thế nào?
Bảng tin
2476
78987
2216
xem lại câu `b` đi
1707
39434
1740
~~
2476
78987
2216
sửa đi
1707
39434
1740
nhìn nhầm part 2~~
2476
78987
2216
Uk :)
2180
-429
2227
Bạn ơi cho mình vào nhóm luôn đu ạ
2180
-429
2227
Đi
90
3570
98
xin vào nhx ạ