Đăng nhập để hỏi chi tiết


Hãy luôn nhớ cảm ơn và vote 5*
nếu câu trả lời hữu ích nhé!
Đây là câu trả lời đã được xác thực
Câu trả lời được xác thực chứa thông tin chính xác và đáng tin cậy, được xác nhận hoặc trả lời bởi các chuyên gia, giáo viên hàng đầu của chúng tôi.
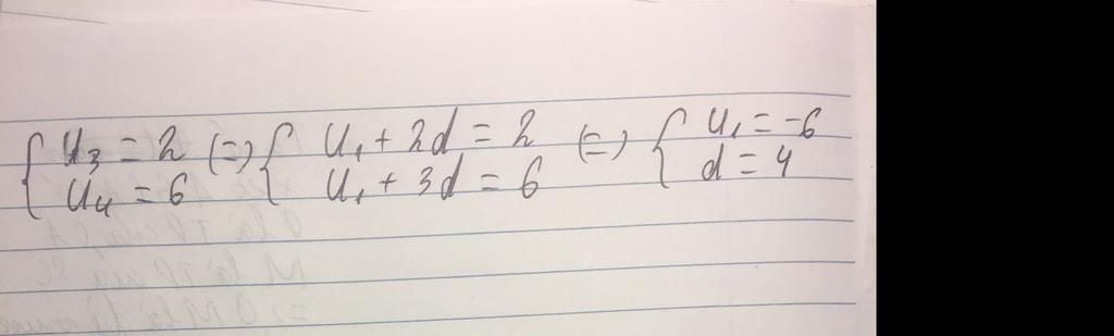
Đáp án: Công sai bằng $4$
Giải thích các bước giải:
Ta có :
$u_4=6$
$u_3=2$
Do đây là 1 cấp số cộng nên :
$u_4=u_3+d$
$6=2+d$
$d=4$
Vậy công sai bằng $4$
Hãy giúp mọi người biết câu trả lời này thế nào?
Bảng tin
1696
905
1374
Chúc mừng anh