

Hãy luôn nhớ cảm ơn và vote 5*
nếu câu trả lời hữu ích nhé!
Đáp án:
Giải thích các bước giải:
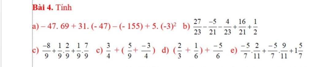
`(-47).69+31.(-47)-(-155)+5.(-3)^2`
`=(-47.(69+31)+155+5.9`
`=(-47).100+155+45`
`=(-4700)+155+45`
`=(-4545)+45`
`=-4000`
`27/23 + (-5)/21 - 4/23 + 16/21 + 1/2`
`=(27/23 + 4/23)-[-5/21 - 16/21] + 1/2`
`=1+(-1)+1/2`
`=0+1/2=1/2`
`-8/9 + 1/9 . 2/9 + 1/9 . 7/9`
`=-8/9 + 1/9 . (2/9 + 7/9)`
`=-8/9 + 1/9 . 1`
`=-8/9 + 1/9`
`=-7/9`
`3/4 + (5/9 + -3/4) `
`=3/4 + 5/9 + (-3/4)`
`=0+5/9`
`=5/9`
`(2/3+1/6)+-5/6`
`=2/3 + 1/6 + -5/6`
`=2/3 + -2/3`
`=0`
`-5/7 . 2/11 + -5/7 . 9/11 + 1 5/7`
`=-5/7 .(2/11 + 9/11) + 1 5/7`
`=-5/7 . 1 + 1 5/7`
`=-5/7 + 1 5/7`
`=1`
Hãy giúp mọi người biết câu trả lời này thế nào?
`a) -47 . 69 + 31 . (-47) - (-155) + 5 . (-3)²``
`= -47 . 69 + 31 . (-47) + 5 . 31 + 5 . 9`
`= -47 . (69 + 31) + 5 . (31 + 9)`
`= -47 . 100 + 5 . 40`
`= -47 . 100 + 100 . 2`
`= 100 . (-47 + 2)`
`= 100 . (-45)`
`= -4500`
`b)` $\dfrac{27}{23}$ `-` $\dfrac{-5}{21}$ `-` $\dfrac{4}{23}$ `+` $\dfrac{16}{21}$ `+` $\dfrac{1}{2}$
`= `($\dfrac{27}{23}$ `-` $\dfrac{4}{23}$`) + (`$\dfrac{5}{21}$ `+` $\dfrac{16}{21}$`) +` $\dfrac{1}{2}$
`= 1 + 1 +` $\dfrac{1}{2}$
`=` $\dfrac{5}{2}$
`c)` $\dfrac{-8}{9}$ `+` $\dfrac{1}{9}$ `.` $\dfrac{2}{9}$ `+` $\dfrac{1}{9}$ `.` $\dfrac{7}{9}$
`=` $\dfrac{-8}{9}$ `+` $\dfrac{1}{9}$ `. (`$\dfrac{2}{9}$ `+` $\dfrac{7}{9}$`)`
`=` $\dfrac{-8}{9}$ `+` $\dfrac{1}{9}$ `. 1`
`=` $\dfrac{-7}{9}$ .
`c) `$\dfrac{3}{4}$ `+ (`$\dfrac{5}{9}$ `+` $\dfrac{-3}{4}$`)`
`=` $\dfrac{3}{4}$ `+` $\dfrac{5}{9}$ `+` $\dfrac{-3}{4}$
`=` $\dfrac{3}{4}$ `+` $\dfrac{-3}{4}$ `+` $\dfrac{5}{9}$
`= 0 +` $\dfrac{5}{9}$
`=` $\dfrac{5}{9}$
`d) (`$\dfrac{2}{3}$ `+` $\dfrac{1}{6}$`) +` $\dfrac{-5}{6}$
`=` $\dfrac{4}{6}$ `+` $\dfrac{1}{6}$ `+` $\dfrac{-5}{6}$
`=` $\dfrac{0}{6}$ `= 0`
`e)` $\dfrac{-5}{7}$ `.` $\dfrac{2}{11}$ `+` $\dfrac{-5}{7}$ `.` $\dfrac{9}{11}$ `+` 1$\dfrac{5}{7}$
`= `$\dfrac{-5}{7}$ `. (`$\dfrac{2}{11}$ `+` $\dfrac{9}{11}$`) + 1`$\dfrac{5}{7}$
`=` $\dfrac{-5}{7}$ `. 1 + 1`$\dfrac{5}{7}$
`= 1`
`#DungSenpai1412`
Hãy giúp mọi người biết câu trả lời này thế nào?
Bảng tin
1
492
1
b) \dfrac{27}{23} - \dfrac{-5}{21} - \dfrac{4}{23} + \dfrac{16}{21} + \dfrac{1}{2} = (\dfrac{27}{23} - \dfrac{4}{23}) + (\dfrac{5}{21} + \dfrac{16}{21}) + \dfrac{1}{2} = 1 + 1 + \dfrac{1}{2}
1
492
1
b) \dfrac{27}{23} - \dfrac{-5}{21} - \dfrac{4}{23} + \dfrac{16}{21} + \dfrac{1}{2} = (\dfrac{27}{23} - \dfrac{4}{23}) + (\dfrac{5}{21} + \dfrac{16}{21}) + \dfrac{1}{2} = 1 + 1 + \dfrac{1}{2}
1
492
1
`b) \dfrac{27}{23} - \dfrac{-5}{21} - \dfrac{4}{23} + \dfrac{16}{21} + \dfrac{1}{2}` `= (\dfrac{27}{23} - \dfrac{4}{23}) + (\dfrac{5}{21} + \dfrac{16}{21}) + \dfrac{1}{2}` `= 1 + 1 + \dfrac{1}{2}`
1
492
1
`b) \frac{27}{23} - \frac{-5}{21} - \frac{4}{23} + \frac{16}{21} + \frac{1}{2}` `= (\frac{27}{23} - \frac{4}{23}) + (\frac{5}{21} + \frac{16}{21}) + \frac{1}{2}` `= 1 + 1 + \frac{1}{2}`
1
492
1
`=2+1/2` `=5/2`