

Hãy luôn nhớ cảm ơn và vote 5*
nếu câu trả lời hữu ích nhé!

Đáp án+Giải thích các bước giải:
$2)$
$\left\{\begin{array}{l} x=2-3t \\ y=4+6t\end{array} \right.$
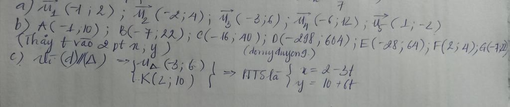
$a)$Vecto pháp tuyến của $(d): \vec{u}=(-3;6)$
$5$ vecto pháp tuyến của $d:$
$\vec{u}(-3;6);\vec{u_1}=(-1;2);\vec{2}=(-6;12);\vec{u_3}=(-9;18);\vec{u_4}=(-12;24)$
$b)t=0; (2;4) \in (d)\\ t=1; (-1;10) \in (d)\\ t=2; (-4;16) \in (d)\\ t=3; (-7;22) \in (d)\\ t=4; (-10;28) \in (d)\\ t=5; (-13;34) \in (d)\\ t=6; (-16;40) \in (d)$
$c)(\Delta) // (d) \Rightarrow $Vecto chỉ phương của $(\Delta): \vec{u_\Delta}=(-1;2)$
$K(2;10) \in (\Delta)\Rightarrow (\Delta): \left\{\begin{array}{l} x=2-t \\ y=10+2t\end{array} \right.(t \in \mathbb{R}).$
Hãy giúp mọi người biết câu trả lời này thế nào?
Bảng tin