Vui lòng chỉ chọn một câu hỏi
Hoidap247.com Nhanh chóng, chính xác
+
Danh mục mới
107
1858
91
Hãy luôn nhớ cảm ơn và vote 5* nếu câu trả lời hữu ích nhé!
5133
1477
4924
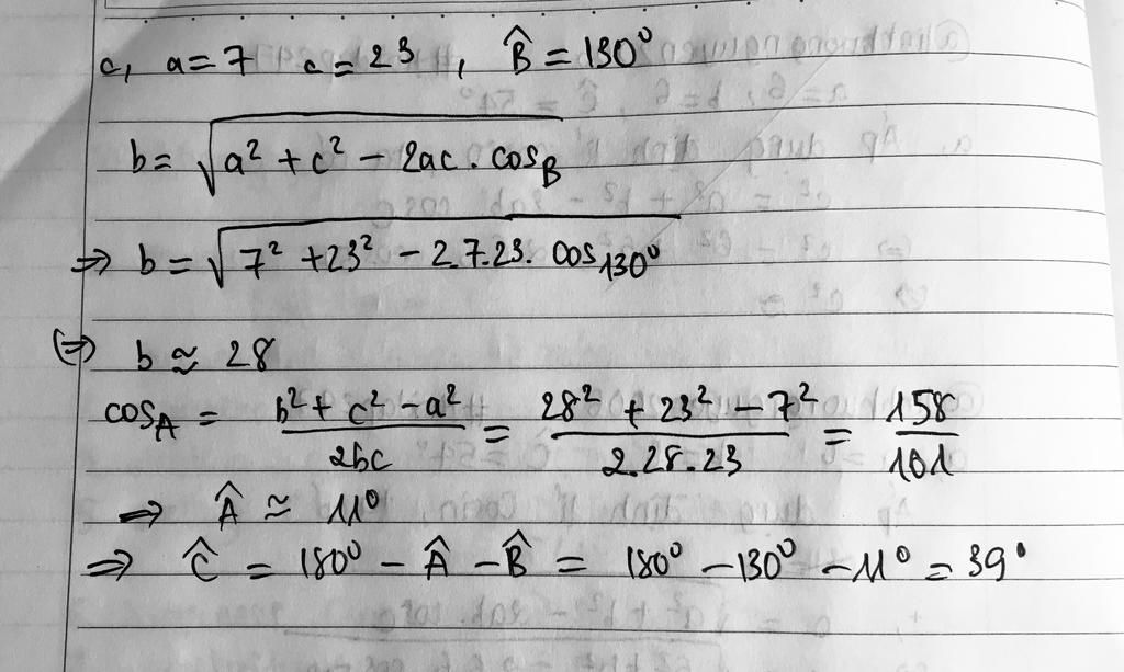
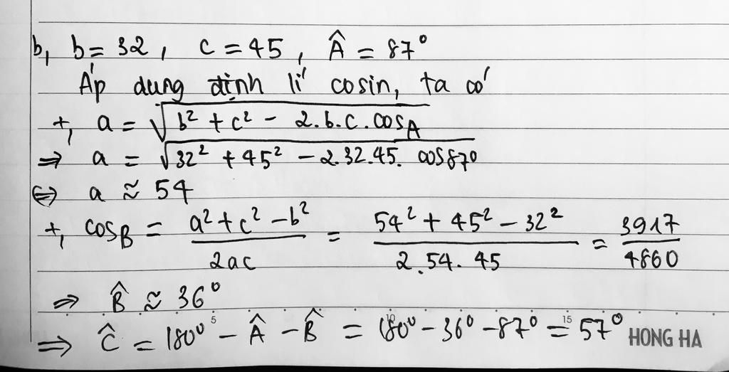
Bạn tham khảo.
Hãy giúp mọi người biết câu trả lời này thế nào?
Bảng tin
Gửi yêu cầu Hủy