Vui lòng chỉ chọn một câu hỏi
Hoidap247.com Nhanh chóng, chính xác
+
Danh mục mới
1
35
Hãy luôn nhớ cảm ơn và vote 5* nếu câu trả lời hữu ích nhé!
1499
23607
2206
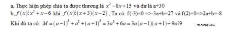
Đáp án:
Giải thích các bước giải:
Gửi tus
Hãy giúp mọi người biết câu trả lời này thế nào?
1553
2898
1801
Bạn kí vào bằng đúng font chữ bạn làm bài cho mình
mk đánh máy thì bn nghĩ mk kí bằng tay à
Cbi bc này
Kí vậy thì mình cũng kí được 😒😒
Thế bn nghĩ mk kí bằng j
Đánh máy chứ bằng gì?
Thế
Nếu bạn là chủ của bài này bạn kí bằng font bạn làm bài
Bảng tin
Gửi yêu cầu Hủy
1553
2898
1801
Bạn kí vào bằng đúng font chữ bạn làm bài cho mình
1499
23607
2206
mk đánh máy thì bn nghĩ mk kí bằng tay à
1553
2898
1801
Cbi bc này
1553
2898
1801
Kí vậy thì mình cũng kí được 😒😒
1499
23607
2206
Thế bn nghĩ mk kí bằng j
1553
2898
1801
Đánh máy chứ bằng gì?
1499
23607
2206
Thế
1553
2898
1801
Nếu bạn là chủ của bài này bạn kí bằng font bạn làm bài