

Hãy luôn nhớ cảm ơn và vote 5*
nếu câu trả lời hữu ích nhé!

Đáp án:
CHÚC BẠN HỌC TỐT !!!!
Giải thích các bước giải:
Hãy giúp mọi người biết câu trả lời này thế nào?
Đáp án:
Giải thích các bước giải:
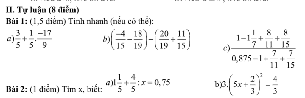
Bài 1 :
a) 3/5 + 1/5 . -17/9
= 3/5 + -17/45
= 27/45 + -17/45
= 10/45
b) (-4/15 - 18/19)-(20/19 + 11/15)
= (-346/285)-509/285
= -885/285
= -59/19
Bài 2 :
a) 1 1/5 + 4/5 : x = 0,75
6/5 + 4/5 : x = 3/4
4/5:x = 3/4 - 6/5
4/5 : x = -9/20
x = -9/20 : 4/5
x = -9/16
b) 3.(5x+2/3)² = 4/3
(5x+2/3)² = 4/3 : 3
(5x+2/3)² = 4/9
(5x+2/3) = 2/3
5x = 2/3-2/3
5x = 0
x = 0:5
x = 0
Hãy giúp mọi người biết câu trả lời này thế nào?
Bảng tin
1302
14910
1633
ah ơi
12477
228222
11847
Ơi
0
-10
0
Khôi ơi, giúp tớ bài này vs : https://hoidap247.com/cau-hoi/370531