

Hãy luôn nhớ cảm ơn và vote 5*
nếu câu trả lời hữu ích nhé!
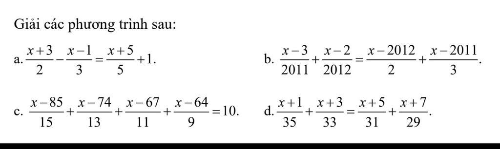
a. `(x+3)/2-(x-1)/3=(x+5)/5+1`
`⇒15x+45-10x+10=6x+30+30`
`⇔x=-5`
Vậy tập nghiệm của phương trình là: `S={-5}`
b. `(x-3)/(2011)+(x-2)/(2012)=(x-2012)/2+(x-2011)/3`
`⇔(x-3)/(2011)-1+(x-2)/(2012)-1=(x-2012)/2-1+(x-2011)/3-1`
`⇔(x-2014)/(2011)+(x-2014)/(2012)=(x-2014)/2+(x-2014)/3`
`⇔(x-2014)(1/(2011)+1/(2012)-1/2-1/3)=0`
`⇔x-2014=0`
`⇔x=2014`
Vậy tập nghiệm của phương trình là: `S={2014}`
c. `(x-85)/(15)+(x-74)/(13)+(x-67)/(11)+(x-64)/9=10`
`⇔((x-85)/(15)+1)+((x-74)/(13)+2)+((x-67)/(11)+3)+((x-64)/9+4)=0`
`⇔(x-100)(1/(15)+1/(13)+1/(11)+1/9)=0`
`⇔x=100`
Vậy tập nghiệm của phương trình là: `S={100}`
d. `(x+1)/(35)+(x+3)/(33)=(x+5)/(31)+(x+7)/(29)`
`⇔(x+1)/(35)+1+(x+3)/(33)+1=(x+5)/(31)+1+(x+7)/(29)+1`
`⇔(x+36)(1/(35)+1/(33)-1/(31)-1/(29))=0`
`⇔x=-36`
Vậy tập nghiệm của phương trình là: `S={-36}`.
Hãy giúp mọi người biết câu trả lời này thế nào?
Bảng tin

3545
153
3031
https://hoidap247.com/cau-hoi/3647647 Lý do : Sai https://hoidap247.com/cau-hoi/3647647 Sai https://hoidap247.com/cau-hoi/3645953 Ko gth https://hoidap247.com/cau-hoi/3631038 Lm ko đầy đủ https://hoidap247.com/cau-hoi/3638412 Ko gth https://hoidap247.com/cau-hoi/3647225 https://hoidap247.com/cau-hoi/3629611 Sai https://hoidap247.com/cau-hoi/3645814 Ko gth https://hoidap247.com/cau-hoi/3489895 Cop mạng https://hoidap247.com/cau-hoi/3409706 Cop mạng https://hoidap247.com/cau-hoi/3570799 Cop bn trên https://hoidap247.com/cau-hoi/3254955 Cop mạng https://hoidap247.com/cau-hoi/3243468 Ko gth https://hoidap247.com/cau-hoi/3242018 Ko gth https://hoidap247.com/cau-hoi/3214504 Cop bn trên __________________________________________ Mong mod xóa ạ Nếu đc thì có thể khóa 1 ngày Rút gọnhttps://hoidap247.com/cau-hoi/3647647 Lý do : Sai https://hoidap247.com/cau-hoi/3647647 Sai https://hoidap247.com/cau-hoi/3645953 Ko gth https://hoidap247.com/cau-hoi/3631038 Lm ko đầy đủ https://hoidap247.com/cau-hoi/3638412 Ko gth https://hoidap247.c... xem thêm
0
383
0
https://hoidap247.com/thong-tin-ca-nhan/1272155 copier mod ơi
4194
19424
4586
mod ơi xóa cho em câu này https://hoidap247.com/cau-hoi/3868665 -> em lỡ tay nhấn trl chứ em ko cố tình đâu T.T