

Hãy luôn nhớ cảm ơn và vote 5*
nếu câu trả lời hữu ích nhé!
Đáp án:
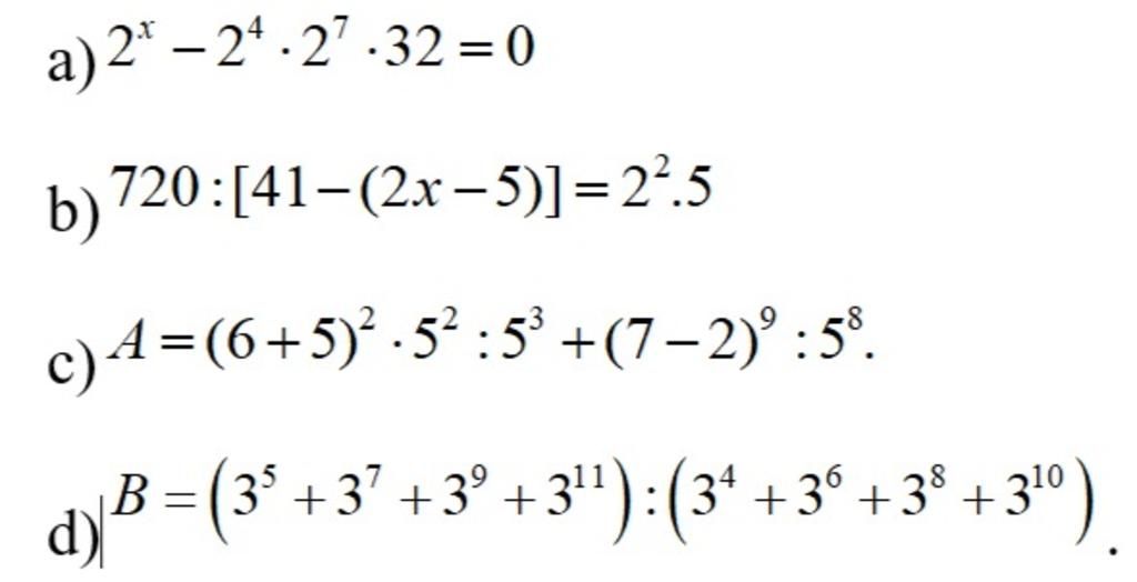
$a)\,2^x-2^4.2^7.32=0\\\Rightarrow 2^x-2^{11}.2^5=0\\\Rightarrow 2^x-2^{16}=0\\\Rightarrow 2^x=2^{16}\\\Rightarrow x=16\\b)\,720:[41-(2x-5)]=2^2.5\\\Rightarrow 720:[41-(2x-5)]=20\\\Rightarrow 41-(2x-5)=36\\\Rightarrow 2x-5=5\\\Rightarrow 2x=10\\\Rightarrow x=5\\c)\,A=\left(6+5\right)^2.5^2:5^3+\left(7-2\right)^9:5^8\\\Rightarrow A=11^2 \!\cdot\!\dfrac15+5^9:5^8\\\Rightarrow A=\dfrac{121}5+5\\\Rightarrow A=\dfrac{146}5\\d)\,B=\dfrac{3^5+3^7+3^9+3^{11}}{3^4+3^6+3^8+3^{10}}\\\Rightarrow B=\dfrac{3^5(1+3^2+3^4+3^6)}{3^4(1+3^2+3^4+3^6)}\\\Rightarrow B=3$
Giải thích các bước giải:
Hãy giúp mọi người biết câu trả lời này thế nào?
![]()
Ta có:
a) $2^{x}$ - $2^{4}$×$2^{7}$×32=0
⇒ $2^{x}$ - $2^{4}$×$2^{7}$×$2^{5}$=0
⇒ $2^{x}$ - $2^{16}$=0
⇒ $2^{x}$ = $2^{16}$
⇒ x=16
Vậy x= 16
b)720÷[41-(2x-5)]=$2^{2}$×5
⇒720÷(41-2x+5)=20
⇒46-2x=720÷20=26
⇒2x=46-26=20
⇒x=20÷2=10
Vậy x = 10
c)A=(6+5)²×5²÷5³+$(7-2)^{9}$÷$5^{8}$
=(11)²×$5^{-1}$ + $5^{9}$÷ $5^{8}$
=121×0,2+5
=24,2+5=29,2
Vậy giá trị biểu thức A = 29,2
d)B=($3^{5}$ + $3^{7}$ + $3^{9}$ +$3^{11}$ )÷($3^{4}$ + $3^{6}$ + $3^{8}$ + $3^{10}$ )
=$3^{5+7+9+11}$÷$3^{4+6+8+10}$
=$3^{32}$ ÷ $3^{28}$
=$3^{32-28}$ = $3^{4}$
=81
Vậy giá trị biểu thức B = 29,2
Học tốt nhé!
Hãy giúp mọi người biết câu trả lời này thế nào?
![]()
Bảng tin