Vui lòng chỉ chọn một câu hỏi
Hoidap247.com Nhanh chóng, chính xác
+
Danh mục mới
0
10
Hãy luôn nhớ cảm ơn và vote 5* nếu câu trả lời hữu ích nhé!
1142
24463
755
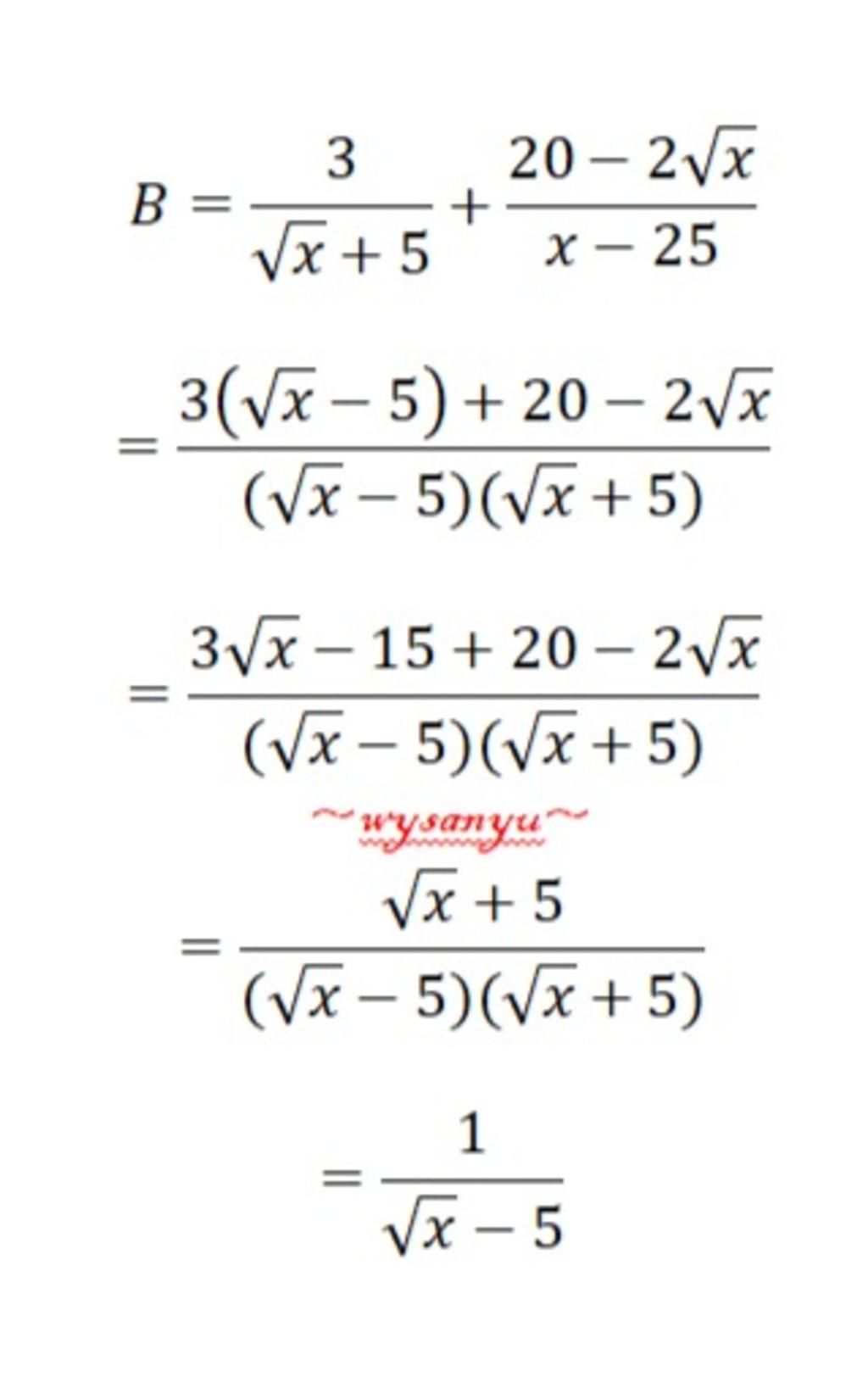
Đáp án: B - D
Hãy giúp mọi người biết câu trả lời này thế nào?
https://hoidap247.com/cau-hoi/3596214 giup minh them cau nay voi
Xem thêm:
Bảng tin
Gửi yêu cầu Hủy
0
10
0
https://hoidap247.com/cau-hoi/3596214 giup minh them cau nay voi