Vui lòng chỉ chọn một câu hỏi
Hoidap247.com Nhanh chóng, chính xác
+
Danh mục mới
3
10278
4
Hãy luôn nhớ cảm ơn và vote 5* nếu câu trả lời hữu ích nhé!
3977
783
3231
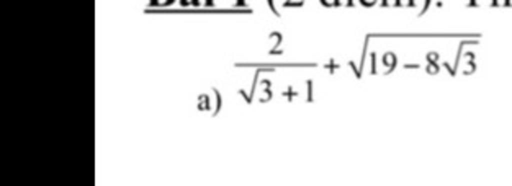
$\dfrac{2}{\sqrt{3}+1}+\sqrt{19-8\sqrt{3}}$
$=\sqrt{3}-1+4-\sqrt{3}$
$=-1+4$
$=3$
Hãy giúp mọi người biết câu trả lời này thế nào?
Xem thêm:
Bảng tin
Gửi yêu cầu Hủy