

Hãy luôn nhớ cảm ơn và vote 5*
nếu câu trả lời hữu ích nhé!
Đáp án:
Giải thích các bước giải:
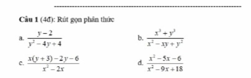
`a;[y-2]/[y^2 -4y+4](đk:y\ne 2)`
`=[y-2]/[(y-2)^2]`
`=1/[y-2]`
`b;[x^3 +y^3]/[x^2 -xy+y^2]`
`=[(x+y)(x^2 -xy+y^2 )]/[x^2 -xy+y^2]`
`=x+y`
`c;[x(y+3)-2y-6]/[x^2 -2x](đk:x\ne0;2)`
`=[(x-2)(y+3)]/[x(x-2)]`
`=[y+3]/x`
`d;[x^2 -5x-6]/[x^2 -9x+18](đk:x\ne 3;6)`
`=[x^2 -6x+x-6]/[x^2 -3x-6x+18]`
`=[(x+1)(x-6)]/[(x-3)(x-6)]`
`=[x+1]/[x-3]`
Hãy giúp mọi người biết câu trả lời này thế nào?

Giải thích các bước giải:
`a) (y-2)/(y^2 -4y+4)`
`= (y-2)/((y-2)^2)`
`=1/(y-2)`
`b) (x^3 +y^3)/(x^2 -xy+y^2)`
`=((x+y)(x^2 -xy+y^2))/(x^2 -xy+y^2)`
`=x+y`
`c) (x(y+3)-2y-6)/(x^2 -2x)`
`=(x(y+3)-2(y+3))/(x(x-2))`
`=((x-2)(y+3))/(x(x-2))`
`=(y+3)/x`
`d) (x^2 -5x-6)/(x^2 -9x+18)`
`=(x^2 +x-6x-6)/(x^2 -3x-6x+18)`
`=(x(x+1)-6(x+1))/(x(x-3)-6(x-3))`
`=((x-6)(x+1))/((x-6)(x-3))`
`=(x+1)/(x-3)`
Hãy giúp mọi người biết câu trả lời này thế nào?

Bảng tin