

Hãy luôn nhớ cảm ơn và vote 5*
nếu câu trả lời hữu ích nhé!
Đáp án + Giải thích các bước giải:
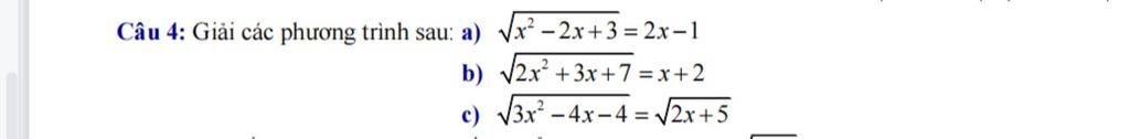
`sqrt{x^2 - 2x + 3 } = 2x - 1` `(1)`
ĐKXĐ : `2x - 1 \ge 0 <=> x \ge \frac{1}{2}`
`(1) => x^2 -2x +3 = ( 2x - 1 )^2`
`<=> x^2 -2x + 3 = 4x^2 - 4x + 1`
`<=> -3x^2 +2x +2 = 0`
`<=>`$\left[\begin{matrix} x=\frac{1+\sqrt{7}}{3}(Nhận)\\ x=\frac{1-\sqrt{7}}{3}(Loại)\end{matrix}\right.$
Vậy `S = { \frac{1+\sqrt{7}}{3} }`
___________________________
`sqrt{2x^2 +3x + 7 } = x + 2` `(2)`
ĐKXĐ : `x + 2 \ge 0 <=> x \ge -2`
`(2) => 2x^2 + 3x + 7 = ( x + 2 )^2`
`<=> 2x^2 + 3x + 7 = x^2 +4x + 4`
`<=> x^2 -x + 3 = 0`
Phương trình vô nghiệm
__________________________
`sqrt{3x^2 -4x - 4 } = \sqrt{2x + 5` `(3)`
ĐKXĐ : `2x + 5 \ge 0 <=> x \ge \frac{-5}{2}`
`(3) => 3x^2 - 4x - 4 = 2x + 5`
`<=> 3x^2 -6x - 9 = 0`
`<=>`$\left[\begin{matrix} x=3(Nhận)\\ x=-1(Nhận)\end{matrix}\right.$
Vậy `S = { -1 ; 3 }`
Hãy giúp mọi người biết câu trả lời này thế nào?

Bảng tin
985
19185
653
câu b) ra nghiệm `\frac{1+\sqrt{11} i }{2}` và `\frac{1-\sqrt{11} i }{2}`
985
19185
653
có chữ `i` đằng sau, không biết có nhận không nhỉ
0
952
0
ko nha
985
19185
653
không hiểu câu nào thì hỏi mình nhé
0
952
0
ok