Vui lòng chỉ chọn một câu hỏi
Hoidap247.com Nhanh chóng, chính xác
+
Danh mục mới
0
893
Hãy luôn nhớ cảm ơn và vote 5* nếu câu trả lời hữu ích nhé!
3977
783
3231
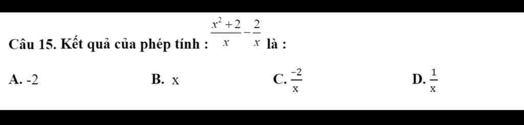
Đáp án:
$B.x$
Giải thích các bước giải:
$\dfrac{x^2+2}{x}-\dfrac{2}{x}$
$=\dfrac{x^2+2-2}{x}$
$=\dfrac{x^2}{x}$
$=x$
Hãy giúp mọi người biết câu trả lời này thế nào?
4252
78154
5043
Mong bạn vote chéo
10
https://hoidap247.com/cau-hoi/3561776
bn ưi giúp mk với ak
mong bn giúp mk ak
cảm ơn bn nhìu ak
Đủ ng rồi bn
oki ak
Bảng tin
Gửi yêu cầu Hủy
4252
78154
5043
Mong bạn vote chéo
0
10
0
https://hoidap247.com/cau-hoi/3561776
0
10
0
bn ưi giúp mk với ak
0
10
0
mong bn giúp mk ak
0
10
0
cảm ơn bn nhìu ak
3977
783
3231
Đủ ng rồi bn
0
10
0
oki ak