Đăng nhập để hỏi chi tiết


Hãy luôn nhớ cảm ơn và vote 5*
nếu câu trả lời hữu ích nhé!
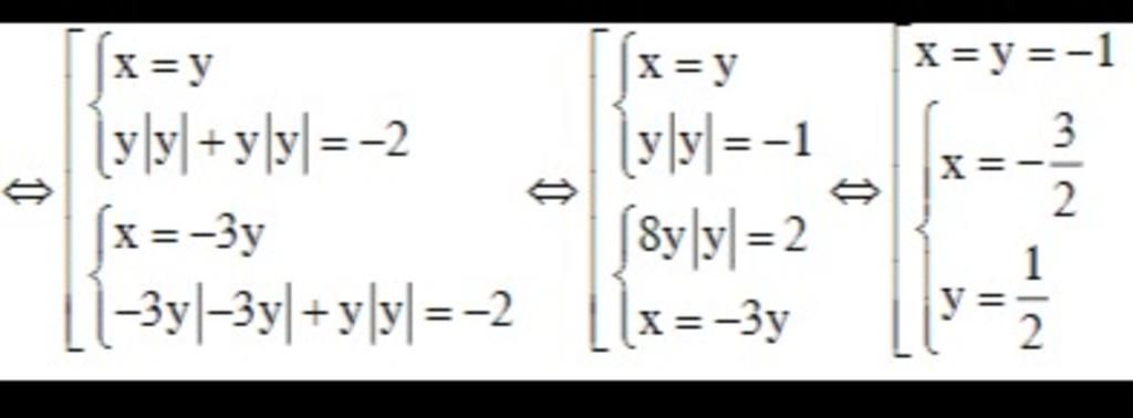
$=>\begin{cases}x^{2}+2xy-3y^{2}=0 \\ x|x|+y|y|=-2 \end{cases}$
$x^{2}+2xy-3y^{2}=0$
$\Leftrightarrow x\left(x+3y\right)-y\left(x+3y\right)=0\Leftrightarrow\left(x-y\right)\left(x+3y\right)=0$
$ ⇒\left[ \begin{array}{l}x = y\\x=-3y\end{array} \right.$
Bước tiếp theo dưới ảnh
Hãy giúp mọi người biết câu trả lời này thế nào?
![]()
Bảng tin