Đăng nhập để hỏi chi tiết


Hãy luôn nhớ cảm ơn và vote 5*
nếu câu trả lời hữu ích nhé!
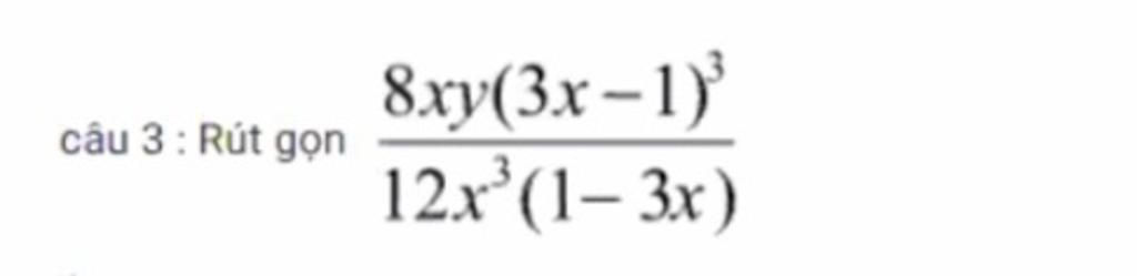
$\frac{8xy(3x-1)^{3}}{12x^{3}(1-3x)}$=$\frac{8xy(3x-1)^{3}}{-12x^{3}(3x-1)}$=$\frac{-2y(3x-1)^{2}}{3x^{2}}$
CHÚC BẠN HỌC TỐT!
NHỚ CHO MÌNH CTLHN NHA!!!
Hãy giúp mọi người biết câu trả lời này thế nào?

Bảng tin