

Hãy luôn nhớ cảm ơn và vote 5*
nếu câu trả lời hữu ích nhé!
Đáp án + Giải thích các bước giải:
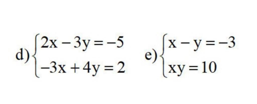
`d,`
`{(2x-3y=-5),(-3x+4y=2):} <=>`$\begin{cases}x=\dfrac{-5+3y}{2}\\(-3) . \dfrac{-5+3y}{2} + 4y=2\end{cases}$
`<=>`$\begin{cases}x=\dfrac{-5+3y}{2}\\\dfrac{15-9y}{2}+4y=2\end{cases}$`<=>`$\begin{cases}x=\dfrac{-5+3y}{2}\\15-9y+8y=4\end{cases}$
`<=>`$\begin{cases}x=\dfrac{-5+3y}{2}\\y=11\end{cases}$`<=> {(x=14),(y=11):}`
Vậy hệ phương trình có nghiệm duy nhất là : `(14;11)`
`e,`
`{(x-y=-3),(xy=10):} <=> {(x=y-3),((y-3).y=10):}`
`<=> {(x=y-3),(y^2-3y-10=0):} <=> {(x=y-3),((y-5)(y+2)=0):}`
`<=> {(x=y-3),([(y=5),(y=-2):}):}`
Với `y=5 to x=y-3=5-3=2`
Với `y=-2 to x=y-3=-2-3=-5`
Vậy hệ phương trình có nghiệm là : `(2;5),(-5;-2)`
Hãy giúp mọi người biết câu trả lời này thế nào?
![]()
Bảng tin
5614
805
6435
Mod khoá bl giùm em ạ https://hoidap247.com/cau-hoi/3343443